| Biosynth AG. | 瑞士 | 询价快递 | ||
|---|---|---|---|---|
![]() |
+41 (71) 858-2020 | |||
![]() |
welcome@biosynth.ch | |||
| 化学品生产商 | ||||
| chemBlink 标准供应商 (2014年起) | ||||
| 成都普瑞法科技开发有限公司 | 中国 | 询价快递 | ||
|---|---|---|---|---|
![]() |
+86 (28) 8263-3860 8263-3987 | |||
![]() |
sales@biopurify.com biopurify@gmail.com | |||
![]() |
QQ 交谈 | |||
![]() |
Skype 聊天 | |||
| 化学品生产商 | ||||
| chemBlink 标准供应商 (2017年起) | ||||
| Indofine Chemical Company, Inc. | 美国 | 询价快递 | ||
|---|---|---|---|---|
![]() |
+1 (888) 463-6346 | |||
![]() |
info@indofinechemical.com | |||
| 化学品生产商 (1981年起) | ||||
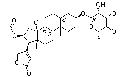
| 英文名 | Rhodexin B |
|---|---|
| 产品名称 | 万年青苷 B |
| 分子结构 | ![]() |
| 分子式 | C31H46O10 |
| 分子量 | 578.70 |
| CAS 登录号 | 50906-58-6 |
| 溶解度 | 几乎不溶 (0.075 g/L) (25 ºC), 计算值* |
|---|---|
| 密度 | 1.34±0.1 g/cm3 (20 ºC 760 torr), 计算值* |
| 熔点 | 262 ºC** |
| * | 使用计算软件 Advanced Chemistry Development (ACD/Labs) V11.02 (©1994-2013 ACD/Labs) |
| ** | Kang, Qian-Jin; Helvetica Chimica Acta 2005, V88(10), P2781-2787. |
| 市场分析报告 |
| 请浏览万年青苷 B市场分析报告总目录 |