Online Database of Chemicals from Around the World

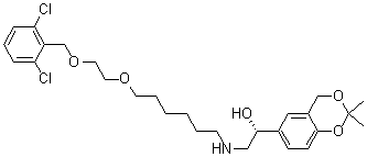
(1R)-2-[[6-[2-[(2,6-二氯苄基)氧基]乙氧基]己基]氨基]-1-(2,2-二甲基-4H-1,3-苯并二氧杂环己-6-基)乙醇
[CAS# 503068-37-9]

供应商目录
杭州企创化工有限公司 中国 询价快递  
+86 (571) 8893-5129
david@qc-chemical.com
sales@qc-chemical.com
davidw0828@gmail.com
QQ 交谈
化学品供销商 (2009年起)
chemBlink 标准供应商 (2013年起)
沧州恩科医药科技有限公司 中国 询价快递  
+86 (317) 510-5699
510-6597
+86 15533709196
sale@enkepharma.com
enkepharma@126.com
QQ 交谈
Skype 聊天
微信交流: ymzhao
化学品生产商 (2011年起)
chemBlink 标准供应商 (2016年起)
(1R)-2-[[6-[2-[(2,6-二氯苄基)氧基]乙氧基]己基]氨基]-1-(2,2-二甲基-4H-1,3-苯并二氧杂环己-6-基)乙醇供应商总目录
基本信息
英文名 (1R)-2-[[6-[2-[(2,6-Dichlorobenzyl)oxy]ethoxy]hexyl]amino]-1-(2,2-dimethyl-4H-1,3-benzodioxin-6-yl)ethanol
产品名称 (1R)-2-[[6-[2-[(2,6-二氯苄基)氧基]乙氧基]己基]氨基]-1-(2,2-二甲基-4H-1,3-苯并二氧杂环己-6-基)乙醇
分子结构 CAS 登录号:503068-37-9, (1R)-2-[[6-[2-[(2,6-二氯苄基)氧基]乙氧基]己基]氨基]-1-(2,2-二甲基-4H-1,3-苯并二氧杂环己-6-基)乙醇
分子式 C27H37Cl2NO5
分子量 526.49
CAS 登录号 503068-37-9
EC 号码 832-041-2
物理化学性质
溶解度 不溶 (9.5e-3 g/L) (25 ºC), 计算值*
密度 1.189±0.06 g/cm3 (20 ºC 760 torr), 计算值*
* 使用计算软件 Advanced Chemistry Development (ACD/Labs) V11.02 (©1994-2013 ACD/Labs)
安全数据
危害分类
up    说明
危害分类类别码危害标签
对水生环境长期有害Aquatic Chronic2H411
生殖毒性Repr.2H361
特定目标器官毒性—单次接触STOT SE1H370
特定目标器官毒性—重复接触STOT RE2H373
市场分析报告
请浏览(1R)-2-[[6-[2-[(2,6-二氯苄基)氧基]乙氧基]己基]氨基]-1-(2,2-二甲基-4H-1,3-苯并二氧杂环己-6-基)乙醇市场分析报告总目录
相关产品
N-(2,6-二氯苄基)乙醇胺  2,4-二氯苄氧胺  O-(3,4-二氯苄基)羟胺盐酸盐  1-(3,4-二氯苄基)-1H-吲哚-2,3-二酮  2,4-二氯苄基异氰酸酯  N-(2,5-二氯苄基)-N-甲胺  N-(3,4-二氯苄基)-N-甲胺  N-(2,3-二氯苄基)甲胺  N-(2,4-二氯苄基)甲胺  2-[(2,6-二氯苄基)氧基]乙醇  (R)-3-[6-[2-(2,6-二氯苄氧基)乙氧基]己基]-5-(2,2-二甲基-4H-苯并[1,3]二恶英-6-基)恶唑烷-2-酮  1-(2,6-二氯苄基)哌嗪  5-[[1-(2,6-二氯苄基)哌啶-4-基]甲氧基]喹唑啉-2,4-二胺  (2,4-二氯苄基)三苯基氯化膦  7,7-二氯双环[4.1.0]庚烷  7,7-二氯双环[3.2.0]庚-2-烯-6-酮  3,3'-二氯联苯  3,4-二氯联苯  2,2'-二氯联苯  3,5-二氯联苯