Online Database of Chemicals from Around the World

Calcium bromolactobionate
[CAS# 33659-28-8]

List of Suppliers
Bio-sugars Technology Co., Ltd. China Inquire  
+86 (579) 8901-8388
+86 15167971485
syngars@hotmail.com
QQ chat
Chemical manufacturer since 2008
chemBlink standard supplier since 2006
Chiralblock Bioscience LLC China Inquire  
+86 18143482572
info@chiralblock.com
Chemical manufacturer
chemBlink standard supplier since 2012
Leap Chem Co., Ltd. China Inquire  
+86 (852) 3060-6658
market19@leapchem.com
QQ chat
Chemical manufacturer since 2006
chemBlink standard supplier since 2015
Zhejiang Medicines & Health Products Import & Export Co., Ltd. China Inquire  
+86 (0571) 281-9008
anna@zmcchina.com
Chemical distributor since 1984
chemBlink standard supplier since 2023
MP Biomedicals LLC. USA Inquire  
+1 (440) 337-1200
inside@mpbio.com
Chemical manufacturer
Complete supplier list of Calcium bromolactobionate
Identification
Name Calcium bromolactobionate
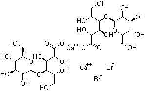
Molecular Structure CAS # 33659-28-8, Calcium bromolactobionate
Molecular Formula 2(C12H21O12).Ca.CaBr2
Molecular Weight 954.54
CAS Registry Number 33659-28-8
EC Number 251-616-3
Safety Data
Hazard Classification
up    Details
HazardClassCategory CodeHazard Statement
Skin sensitizationSkin Sens.1H317
Respiratory sensitizationResp. Sens.1H334
Market Analysis Reports
List of Reports Available for Calcium bromolactobionate
Related Products
Calcium bis(cyclohexylsulphamate)  Calcium bis(dinonylnaphthalenesulphonate)  Calcium bis[monoethyl(3,5-di-tert-butyl-4-hydroxylbenzyl)phosphonate]  Calcium bis(2,2,6,6-tetramethyl-3,5-heptanedionate)  Calcium bisulfite  Calcium borate  Calcium borogluconate  Calcium bromide  Calcium bromide dihydrate  Calcium bromide hydrate  Calamus Oil  Calanolide E  Calcein Blue  Calceolarioside B  Calcifediol  Calcifediol  Calcifediol-d3  Calcined coke (petroleum)  Calcined diatomite  Calcined phosphate rock and Phosphorite