Online Database of Chemicals from Around the World

四(3,4-二氯苯基)卟吩
[CAS# 32350-86-0]

供应商目录
BOC Sciences 美国 询价快递  
+1 (631) 485-4226
info@bocsci.com
化学品生产商
chemBlink 标准供应商 (2010年起)
四(3,4-二氯苯基)卟吩供应商总目录
基本信息
英文名 Tetra(3,4-dichlorophenyl)porphine
别名 5,10,15,20-Tetrakis(3,4-dichlorophenyl)porphine
产品名称 四(3,4-二氯苯基)卟吩
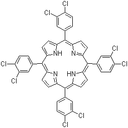
分子结构 CAS 登录号:32350-86-0, 四(3,4-二氯苯基)卟吩
分子式 C44H22Cl8N4
分子量 890.30
CAS 登录号 32350-86-0
物理化学性质
密度 1.519
市场分析报告
请浏览四(3,4-二氯苯基)卟吩市场分析报告总目录
相关产品
四乙烯五胺  四乙基锗  亚甲基二磷酸四乙酯  原碳酸四乙酯  2,3,5,6-四氘-4-[5-[4-(羟基甲基)苯基]-3-(三氟甲基)吡唑-1-基]苯磺酰胺  2,2,6,6-四氘-1-甲基哌啶-4-酮  四氘代氯化铵  四氘甲醇  3,3,5,5-四氘代-N-亚硝基吗啉  四(2,2-二烯丙基氧基甲基-1-丁基)双(双十三烷基)亚磷酰氧基钛酸酯  三氯杀螨砜  四[4-(硼酸基)苯基]甲烷  溴化四乙醇铵  1,1,3,3-四乙氧基-1,3-二辛基二硅氧烷  1,1,3,3-四乙氧基-2-甲基丙烷  四乙基醋酸铵  四乙基硼氢化铵  四乙基溴化铵  四乙基氯化铵  四乙基氯化铵一水合物