Online Database of Chemicals from Around the World

O-2-(Acetylamino)-2-deoxy-beta-D-glucopyranosyl-(1→2)-O-[2-(acetylamino)-2-deoxy-beta-D-glucopyranosyl-(1→4)]-O-alpha-D-mannopyranosyl-(1→3)-O-[O-2-(acetylamino)-2-deoxy-beta-D-glucopyranosyl-(1→2)-O-[2-(acetylamino)-2-deoxy-beta-D-glucopyranosyl-(1→6)]-alpha-D-mannopyranosyl-(1→6)]-O-beta-D-mannopyranosyl-(1→4)-O-2-(acetylamino)-2-deoxy-beta-D-glucopyranosyl-(1→4)-O-[6-deoxy-alpha-L-galactopyranosyl-(1→3)]-2-(acetylamino)-2-deoxy-D-glucose
[CAS# 321142-61-4]

Identification
Name O-2-(Acetylamino)-2-deoxy-beta-D-glucopyranosyl-(1→2)-O-[2-(acetylamino)-2-deoxy-beta-D-glucopyranosyl-(1→4)]-O-alpha-D-mannopyranosyl-(1→3)-O-[O-2-(acetylamino)-2-deoxy-beta-D-glucopyranosyl-(1→2)-O-[2-(acetylamino)-2-deoxy-beta-D-glucopyranosyl-(1→6)]-alpha-D-mannopyranosyl-(1→6)]-O-beta-D-mannopyranosyl-(1→4)-O-2-(acetylamino)-2-deoxy-beta-D-glucopyranosyl-(1→4)-O-[6-deoxy-alpha-L-galactopyranosyl-(1→3)]-2-(acetylamino)-2-deoxy-D-glucose
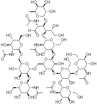
Molecular Structure CAS # 321142-61-4, O-2-(Acetylamino)-2-deoxy-beta-D-glucopyranosyl-(1→2)-O-[2-(acetylamino)-2-deoxy-beta-D-glucopyranosyl-(1→4)]-O-alpha-D-mannopyranosyl-(1→3)-O-[O-2-(acetylamino)-2-deoxy-beta-D-glucopyranosyl-(1→2)-O-[2-(acetylamino)-2-deoxy-beta-D-glucopyranosyl-(1→6)]-alpha-D-mannopyranosyl-(1→6)]-O-beta-D-mannopyranosyl-(1→4)-O-2-(acetylamino)-2-deoxy-beta-D-glucopyranosyl-(1→4)-O-[6-deoxy-alpha-L-galactopyranosyl-(1→3)]-2-(acetylamino)-2-deoxy-D-glucose
Molecular Formula C72H120N6O50
Molecular Weight 1869.73
CAS Registry Number 321142-61-4
Properties
Density 1.69±0.1 g/cm3 (20 ºC 760 Torr), Calc.*
* Calculated using Advanced Chemistry Development (ACD/Labs) Software V11.02 (©1994-2016 ACD/Labs)
Market Analysis Reports
List of Reports Available for O-2-(Acetylamino)-2-deoxy-beta-D-glucopyranosyl-(1→2)-O-[2-(acetylamino)-2-deoxy-beta-D-glucopyranosyl-(1→4)]-O-alpha-D-mannopyranosyl-(1→3)-O-[O-2-(acetylamino)-2-deoxy-beta-D-glucopyranosyl-(1→2)-O-[2-(acetylamino)-2-deoxy-beta-D-glucopyranosyl-(1→6)]-alpha-D-mannopyranosyl-(1→6)]-O-beta-D-mannopyranosyl-(1→4)-O-2-(acetylamino)-2-deoxy-beta-D-glucopyranosyl-(1→4)-O-[6-deoxy-alpha-L-galactopyranosyl-(1→3)]-2-(acetylamino)-2-deoxy-D-glucose
Related Products
7-[[2-(Acetylamino)-2-deoxy-3-O-beta-D-galactopyranosyl-alpha-D-galactopyranosyl]oxy]-4-methyl-2H-1-benzopyran-2-one  3-O-[2-(Acetylamino)-2-deoxy-D-galactopyranosyl]-D-mannopyranose  7-[[2-(Acetylamino)-2-deoxy-beta-D-galactopyranosyl]oxy]-4-methyl-2H-1-benzopyran-2-one  O-[2-(Acetylamino)-2-deoxy-alpha-D-galactopyranosyl]-L-serine  2-(Acetylamino)-2-deoxy-D-galactose 3,4,6-triacetate  2-(Acetylamino)-2-deoxy-beta-D-glucopyranose 1,3,6-triacetate  O-2-(Acetylamino)-2-deoxy-beta-D-glucopyranosyl-(1→4)-O-[O-2-(acetylamino)-2-deoxy-beta-D-glucopyranosyl-(1→2)-O-[2-(acetylamino)-2-deoxy-beta-D-glucopyranosyl-(1→4)]-O-[2-(acetylamino)-2-deoxy-beta-D-glucopyranosyl-(1→6)]-alpha-D-mannopyranosyl-(1→6)]-O-[O-2-(acetylamino)-2-deoxy-beta-D-glucopyranosyl-(1→2)-O-[2-(acetylamino)-2-deoxy-beta-D-glucopyranosyl-(1→4)]-alpha-D-mannopyranosyl-(1→3)]-O-beta-D-mannopyranosyl-(1→4)-O-2-(acetylamino)-2-deoxy-beta-D-glucopyranosyl-(1→4)-2-(acetylamino)-2-deoxy-beta-D-glucopyranose  7-[[O-2-(Acetylamino)-2-deoxy-beta-D-glucopyranosyl-(1→4)-O-2-(acetylamino)-2-deoxy-beta-D-glucopyranosyl-(1→4)-O-2-(acetylamino)-2-deoxy-beta-D-glucopyranosyl-(1→4)-2-(acetylamino)-2-deoxy-beta-D-glucopyranosyl]oxy]-4-methyl-2H-1-benzopyran-2-one  O-2-(Acetylamino)-2-deoxy-alpha-D-glucopyranosyl-(1→2)-O-[2-(acetylamino)-2-deoxy-beta-D-glucopyranosyl-(1→4)]-O-alpha-D-mannopyranosyl-(1→3)-O-[2-(acetylamino)-2-deoxy-beta-D-glucopyranosyl-(1→4)]-O-[O-2-(acetylamino)-2-deoxy-beta-D-glucopyranosyl-(1→2)-O-[2-(acetylamino)-2-deoxy-beta-D-glucopyranosyl-(1→6)]-alpha-D-mannopyranosyl-(1→6)]-O-beta-D-mannopyranosyl-(1→4)-O-2-(acetylamino)-2-deoxy-beta-D-glucopyranosyl-(1→4)-2-(acetylamino)-2-deoxy-D-glucose  O-2-(Acetylamino)-2-deoxy-beta-D-glucopyranosyl-(1→2)-O-[2-(acetylamino)-2-deoxy-beta-D-glucopyranosyl-(1→4)]-O-alpha-D-mannopyranosyl-(1→3)-O-[O-2-(acetylamino)-2-deoxy-beta-D-glucopyranosyl-(1→2)-O-[2-(acetylamino)-2-deoxy-beta-D-glucopyranosyl-(1→4)]-alpha-D-mannopyranosyl-(1→6)]-O-beta-D-mannopyranosyl-(1→4)-O-2-(acetylamino)-2-deoxy-beta-D-glucopyranosyl-(1→4)-2-(acetylamino)-2-deoxy-D-glucose  2-(Acetylamino)-2-deoxy-beta-D-glucopyranosyl-(1→4)-O-[2-(acetylamino)-2-deoxy-beta-D-glucopyranosyl-(1→2)]-O-beta-D-mannopyranosyl-(1→4)-O-[O-2-(acetylamino)-2-deoxy-beta-D-glucopyranosyl-(1→4)-O-[O-2-(acetylamino)-2-deoxy-beta-D-glucopyranosyl-(1→2)]-O-alpha-D-mannopyranosyl-(1→3)]-O-alpha-D-mannopyranosyl-(1→4)-O-2-(acetylamino)-2-deoxy-beta-D-glucopyranosyl-(1→4)-D-mannose  O-2-(Acetylamino)-2-deoxy-beta-D-glucopyranosyl-(1→4)-O-[O-2-(acetylamino)-2-deoxy-beta-D-glucopyranosyl-(1→2)-alpha-D-mannopyranosyl-(1→3)]-O-[O-alpha-D-mannopyranosyl-(1→3)-O-[alpha-D-Mannopyranosyl-(1→6)]-alpha-D-mannopyranosyl-(1→6)]-O-beta-D-mannopyranosyl-(1→4)-O-2-(acetylamino)-2-deoxy-beta-D-glucopyranosyl-(1→4)-2-(acetylamino)-2-deoxy-D-glucose  9-[[O-2-(Acetylamino)-2-deoxy-beta-D-glucopyranosyl-(1→4)-O-[6-deoxy-alpha-L-galactopyranosyl-(1→6)]-2-(acetylamino)-2-deoxy-beta-D-glucopyranosyl]oxy]nonanoic acid methyl ester  O-[2-(Acetylamino)-2-deoxy-beta-D-glucopyranosyl]-N-[(9H-fluoren-9-ylmethoxy)carbonyl]-L-threonine 1,1-dimethylethyl ester  6-O-[2-(Acetylamino)-2-deoxy-beta-D-glucopyranosyl]-D-galactose  O-2-(Acetylamino)-2-deoxy-beta-D-glucopyranosyl-(1→2)-O-alpha-D-mannopyranosyl-(1→6)-O-[O-2-(acetylamino)-2-deoxy-beta-D-glucopyranosyl-(1→2)-O-[2-(acetylamino)-2-deoxy-beta-D-glucopyranosyl-(1→4)]-alpha-D-mannopyranosyl-(1→3)]-O-beta-D-mannopyranosyl-(1→4)-O-2-(acetylamino)-2-deoxy-beta-D-glucopyranosyl-(1→4)-2-(acetylamino)-2-deoxy-D-glucose  O-2-(Acetylamino)-2-deoxy-beta-D-glucopyranosyl-(1→2)-O-alpha-D-mannopyranosyl-(1→6)-O-[2-(acetylamino)-2-deoxy-beta-D-glucopyranosyl-(1→2)-O-[2-(acetylamino)-2-deoxy-beta-D-glucopyranosyl-(1→4)]-O-alpha-D-mannopyranosyl-(1→3)]-O-beta-D-mannopyranosyl-(1→4)-O-2-(acetylamino)-2-deoxy-beta-D-glucopyranosyl-(1→4)-O-[6-deoxy-alpha-L-galactopyranosyl-(1→6)]-2-(acetylamino)-2-deoxy-beta-D-glucopyranose  O-2-(Acetylamino)-2-deoxy-beta-D-glucopyranosyl-(1→2)-O-alpha-D-mannopyranosyl-(1→3)-O-[O-2-(acetylamino)-2-deoxy-beta-D-glucopyranosyl-(1→2)-alpha-D-mannopyranosyl-(1→6)]-O-[2-(acetylamino)-2-deoxy-beta-D-glucopyranosyl-(1→4)]-O-beta-D-mannopyranosyl-(1→4)-O-2-(acetylamino)-2-deoxy-beta-D-glucopyranosyl-(1→4)-O-[6-deoxy-alpha-L-galactopyranosyl-(1→6)]-2-(acetylamino)-2-deoxy-D-glucose  O-2-(Acetylamino)-2-deoxy-beta-D-glucopyranosyl-(1→2)-O-alpha-D-mannopyranosyl-(1→6)-O-[O-beta-D-galactopyranosyl-(1→4)-O-2-(acetylamino)-2-deoxy-beta-D-glucopyranosyl-(1→2)-alpha-D-mannopyranosyl-(1→3)]-O-beta-D-mannopyranosyl-(1→4)-O-2-(acetylamino)-2-deoxy-beta-D-glucopyranosyl-(1→4)-2-(acetylamino)-2-deoxy-D-glucose  7-[[2-(Acetylamino)-2-deoxy-alpha-D-glucopyranosyl]oxy]-4-methyl-2H-1-benzopyran-2-one