Online Database of Chemicals from Around the World

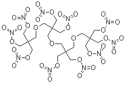
Tetrapentaerythritol decanitrate
[CAS# 31206-33-4]

List of Suppliers
BOC Sciences USA Inquire  
+1 (631) 485-4226
info@bocsci.com
Chemical manufacturer
chemBlink standard supplier since 2010
Complete supplier list of Tetrapentaerythritol decanitrate
Identification
Name Tetrapentaerythritol decanitrate
Molecular Structure CAS # 31206-33-4, Tetrapentaerythritol decanitrate
Molecular Formula C20H32N10O33
Molecular Weight 940.52
CAS Registry Number 31206-33-4
Properties
Solubility Insoluble (2.9E-7 g/L) (25 ºC), Calc.*
Density 1.651±0.06 g/cm3 (20 ºC 760 Torr), Calc.*
Melting point 90 ºC**
* Calculated using Advanced Chemistry Development (ACD/Labs) Software V11.02 (©1994-2013 ACD/Labs)
** Faubion, Billy D.; Analytical Chemistry 1971, V43(2), P241-7.
Market Analysis Reports
List of Reports Available for Tetrapentaerythritol decanitrate
Related Products
2,4,8,10-Tetraoxa-3,9-dithiaspiro[5.5]undecane 3,9-dioxide  2,4,8,10-Tetraoxa-3,9-dithiaspiro[5.5]undecane 3,3,9,9-tetraoxide  4,7,10,13-Tetraoxahexadecanedioic acid  2,4,8,10-Tetraoxaspiro[5.5]undecane-3,9-bis(propylamine)  4,7,10,13-Tetraoxatetradecanoic acid  4,7,10,13-Tetraoxatetradecanoic acid 2,5-dioxo-1-pyrrolidinyl ester  2,5,8,11-Tetraoxatetradec-13-ene  4,6,8,10-Tetraoxatridecane  2,5,8,11-Tetraoxatridecane-13-thiol  N-3,6,9,12-Tetraoxatridec-1-yl-2,5,8,11-tetraoxatridecan-13-amine  Tetrapentylstannane  Tetrapeptide-30  1,3,5,7-Tetraphenyladamantane  Tetraphenylantimony(V) bromide  Tetraphenylarsonium chloride  Tetraphenylarsonium chloride hydrochloride hydrate  Tetraphenylarsonium iodide  N,N,N'N'-Tetraphenyl-1,4-benzenediamine  N,N,N',N'-Tetraphenylbenzidine  9,9',10,10'-Tetraphenyl-2,2'-bianthracene