Online Database of Chemicals from Around the World

苦玄参苷 IV
[CAS# 184288-35-5]

供应商目录
成都普瑞法科技开发有限公司 中国 询价快递  
+86 (28) 8263-3860
8263-3987
sales@biopurify.com
biopurify@gmail.com
QQ 交谈
Skype 聊天
化学品生产商
chemBlink 标准供应商 (2017年起)
苦玄参苷 IV供应商总目录
基本信息
英文名 Picfeltarraenin IV
产品名称 苦玄参苷 IV
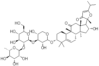
分子结构 CAS 登录号:184288-35-5, 苦玄参苷 IV
分子式 C47H72O18
分子量 925.06
CAS 登录号 184288-35-5
物理化学性质
溶解度 几乎不溶 (0.067 g/L) (25 ºc), 计算值*
密度 1.42±0.1 g/cm3 (20 ºc 760 torr), 计算值*
* 使用计算软件 Advanced Chemistry Development (ACD/Labs) V11.02 (©1994-2015 ACD/Labs)
市场分析报告
请浏览苦玄参苷 IV市场分析报告总目录
相关产品
吡贝拉林  哌波色罗  哌波色罗盐酸盐  哌仑他韦  顺式-曲札芪苷  白皮杉醇  1H-苉并[12b,13-b]环氧乙烯  苦玄参苷 X  苦玄参苷 IA  苦玄参苷 IB  吡拉米司特  4-氨基-3,5,6-三氯吡啶羧酸  3-甲基吡啶  2-甲基吡啶  4-甲基吡啶氧化物  2-甲基吡啶氧化物  3-甲基吡啶氧化物  邻苯二甲酰甘氨酸羟基琥珀酰亚胺酯  N-邻苯二甲酰基-L-异亮氨酸  N-邻苯二甲酰-L-苯丙氨酸