Online Database of Chemicals from Around the World

13-(4-Benzoyl-D-phenylalanine)-19-L-tyrosine-melanin-concentrating hormone (human)
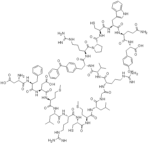
[CAS# 183606-10-2]

Identification
Name 13-(4-Benzoyl-D-phenylalanine)-19-L-tyrosine-melanin-concentrating hormone (human)
Molecular Structure CAS # 183606-10-2, 13-(4-Benzoyl-D-phenylalanine)-19-L-tyrosine-melanin-concentrating hormone (human)
Molecular Formula C116H164N30O27S4
Molecular Weight 2538.99
CAS Registry Number 183606-10-2
Properties
Density 1.47±0.1 g/cm3 (20 ºC 760 Torr), Calc.*
* Calculated using Advanced Chemistry Development (ACD/Labs) Software V11.02 (©1994-2016 ACD/Labs)
Market Analysis Reports
List of Reports Available for 13-(4-Benzoyl-D-phenylalanine)-19-L-tyrosine-melanin-concentrating hormone (human)
Related Products
N-Benzoyl-4-perhydroazepinone  Benzoyl peroxide  2-(4-Benzoylphenoxy)-N-[1-(phenylmethyl)-4-piperidinyl]acetamide  3-Benzoylphenylacetonitrile  N-Benzoyl-D-phenylalanine  N-Benzoyl-DL-phenylalanine  4-Benzoyl-L-phenylalanine  N-Benzoyl-L-phenylalanine  D-4-Benzoylphenylalanine  (S)-N-Benzoylphenylalanine methyl ester  N-Benzoyl-L-phenylalanyl-L-valyl-N-(4-methoxy-2-naphthalenyl)-L-argininamide  4-Benzoylphenylboronic acid  N-(2-Benzoylphenyl)-2-bromoacetamide  4-Benzoyl-1,3-phenylene bis(6-diazo-5,6-dihydro-5-oxonaphthalene-1-sulphonate)  N-Benzoyl-(2R,3S)-3-phenylisoserine  N-(2-Benzoylphenyl)-O-[2-(methyl-2-pyridinylamino)ethyl]-L-tyrosine  4-Benzoylphenyl methyl sulfoxide  (2R)-N-(2-Benzoylphenyl)-1-(phenylmethyl)-2-pyrrolidinecarboxamide  trans-1-Benzoyl-4-phenyl-L-proline  2-(4-Benzoylphenyl)propanoic acid