Online Database of Chemicals from Around the World

曲西利特
[CAS# 180918-68-7]

供应商目录
杭州耀泰生物技术有限公司 中国 询价快递  
+86 (571) 8682-1378
8682-0258
5683-6287
5683-6288
sales@utanpharma.com
utansale@hotmail.com
化学品生产商
chemBlink 标准供应商 (2010年起)
BOC Sciences 美国 询价快递  
+1 (631) 485-4226
info@bocsci.com
化学品生产商
chemBlink 标准供应商 (2010年起)
曲西利特供应商总目录
基本信息
产品分类 原料药 >> 循环系统用药
英文名 Trecetilide
别名 (S)-N-[4-[4-[Ethyl(6-fluoro-6-methylheptyl)amino]-1-hydroxybutyl]phenyl]methanesulfonamide
产品名称 曲西利特
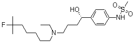
分子结构 CAS 登录号:180918-68-7, 曲西利特
分子式 C21H37FN2O3S
分子量 416.59
CAS 登录号 180918-68-7
物理化学性质
密度 1.120
市场分析报告
请浏览曲西利特市场分析报告总目录
相关产品
曲索罗地  曲索罗地甲磺酸盐  曲索罗地甲磺酸盐三水合物  曲唑酮  曲唑酮 EP 杂质G(盐酸盐)  盐酸曲唑酮  曲唑酮杂质36  曲唑酮杂质E  曲唑酮杂质I  曲唑酮相关物 C  树苔净油  D-海藻糖  alpha,beta-海藻糖  海藻糖 6,6'-二山嵛酸酯  海藻糖二霉菌酸酯  曲格列汀  曲格列汀盐酸盐  曲格列汀琥珀酸盐  银耳提取物  孕三烯酮