| 厦门志信化学有限公司 | 中国 | 询价快递 | ||
|---|---|---|---|---|
![]() |
+86 13806087780 | |||
![]() |
sale@simagchem.com | |||
| 化学品生产商 (2002年起) | ||||
| chemBlink 标准供应商 (2008年起) | ||||
| Discovery Fine Chemicals Ltd. | 英国 | 询价快递 | ||
|---|---|---|---|---|
![]() |
+44 (1202) 874-517 | |||
![]() |
pjc@discofinechem.com | |||
| 化学品生产商 | ||||
| chemBlink 标准供应商 (2009年起) | ||||
| 上海拓克化学科技有限公司 | 中国 | 询价快递 | ||
|---|---|---|---|---|
![]() |
+86 (21) 3160-8287 +86 13776836200 | |||
![]() |
info@tocopharm.com | |||
![]() |
QQ 交谈 | |||
| 化学品生产商 (2012年起) | ||||
| chemBlink 标准供应商 (2009年起) | ||||
| 江苏丰园生物技术有限公司 | 中国 | 询价快递 | ||
|---|---|---|---|---|
![]() |
+86 (527) 8469-6488 | |||
![]() |
fycd100@gmail.com | |||
| 化学品生产商 | ||||
| chemBlink 标准供应商 (2010年起) | ||||
| 合肥天健化工有限公司 | 中国 | 询价快递 | ||
|---|---|---|---|---|
![]() |
+86 (551) 6541-8684 | |||
![]() |
sales@tnjchem.com | |||
| 化学品生产商 (2001年起) | ||||
| chemBlink 标准供应商 (2010年起) | ||||
| BOC Sciences | 美国 | 询价快递 | ||
|---|---|---|---|---|
![]() |
+1 (631) 485-4226 | |||
![]() |
info@bocsci.com | |||
| 化学品生产商 | ||||
| chemBlink 标准供应商 (2010年起) | ||||
| 山东滨州智源生物科技有限公司 | 中国 | 询价快递 | ||
|---|---|---|---|---|
![]() |
+86 (543) 818-6048 | |||
![]() |
klaus.chen@cydextrin.com | |||
| 化学品生产商 (2010年起) | ||||
| chemBlink 标准供应商 (2013年起) | ||||
| Biosynth AG. | 瑞士 | 询价快递 | ||
|---|---|---|---|---|
![]() |
+41 (71) 858-2020 | |||
![]() |
welcome@biosynth.ch | |||
| 化学品生产商 | ||||
| chemBlink 标准供应商 (2014年起) | ||||
| 产品分类 | 生物化工 >> 糖类化合物 >> 寡糖 |
|---|---|
| 英文名 | Cyclooctapentylose |
| 别名 | gamma-Cyclodextrin; Cyclooctaamylose |
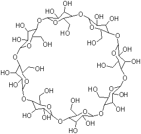
| 产品名称 | gamma-环糊精 |
| 分子结构 | ![]() |
| 分子式 | C48H80O40 |
| 分子量 | 1297.12 |
| CAS 登录号 | 17465-86-0 (91464-90-3) |
| EC 号码 | 241-482-4 |
| 熔点 | 267 ºc |
|---|---|
| 安全说明 | S22;S24/25 说明 | ||||||||||||||||
|---|---|---|---|---|---|---|---|---|---|---|---|---|---|---|---|---|---|
| 危害分类 | |||||||||||||||||
| |||||||||||||||||
| SDS | 化学品安全技术说明书参考文本 | ||||||||||||||||
| 市场分析报告 |
| 请浏览gamma-环糊精市场分析报告总目录 |