Online Database of Chemicals from Around the World

牡丹皮苷 C
[CAS# 172760-03-1]

供应商目录
成都普瑞法科技开发有限公司 中国 询价快递  
+86 (28) 8263-3860
8263-3987
sales@biopurify.com
biopurify@gmail.com
QQ 交谈
Skype 聊天
化学品生产商
chemBlink 标准供应商 (2017年起)
常州新星联生物科技有限公司 中国 询价快递  
+86 (519) 8555-7386
+86 18015025600
marketing1@neostarunited.com
化学品供销商 (2014年起)
chemBlink 标准供应商 (2020年起)
牡丹皮苷 C供应商总目录
基本信息
产品分类 天然产物 >> 萜类
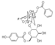
英文名 Mudanpioside C
产品名称 牡丹皮苷 C
分子结构 CAS 登录号:172760-03-1, 牡丹皮苷 C
分子式 C30H32O13
分子量 600.57
CAS 登录号 172760-03-1
物理化学性质
溶解度 几乎不溶 (0.012 g/L) (25 ºc), 计算值*
密度 1.62±0.1 g/cm3 (20 ºc 760 torr), 计算值*
* 使用计算软件 Advanced Chemistry Development (ACD/Labs) V11.02 (©1994-2013 ACD/Labs)
市场分析报告
请浏览牡丹皮苷 C市场分析报告总目录
相关产品
(R)-麝香酮  Musellactone  Musellarin A  Musellarin B  粘蛋白  粘溴酸  糠氯酸  反式,反式-1,3-丁二烯-1,4-二羧酸  Mucrolidin  刺毛黧豆粉提取物  牡丹皮苷 H  牡丹皮苷 J  MuDelta  桑皮黄素  桑呋喃 A  桑呋喃 C  桑呋喃 G  桑呋喃 G 五乙酸酯  桑呋喃 H  桑呋喃 K