Online Database of Chemicals from Around the World

(12E)-3,7:6,10-Dianhydro-2,4,5,12,13-pentadeoxy-8,9,11-tris-O-[(1,1-dimethylethyl)dimethylsilyl]-13-iodo-L-arabino-D-allo-tridec-12-enonic acid methyl ester
[CAS# 157322-83-3]

List of Suppliers
CAS: 157322-83-3
Product: (12E)-3,7:6,10-Dianhydro-2,4,5,12,13-pentadeoxy-8,9,11-tris-O-[(1,1-dimethylethyl)dimethylsilyl]-13-iodo-L-arabino-D-allo-tridec-12-enonic acid methyl ester
No suppilers available.
Identification
Name (12E)-3,7:6,10-Dianhydro-2,4,5,12,13-pentadeoxy-8,9,11-tris-O-[(1,1-dimethylethyl)dimethylsilyl]-13-iodo-L-arabino-D-allo-tridec-12-enonic acid methyl ester
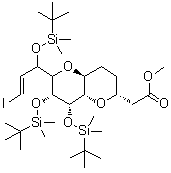
Molecular Structure CAS # 157322-83-3, (12E)-3,7:6,10-Dianhydro-2,4,5,12,13-pentadeoxy-8,9,11-tris-O-[(1,1-dimethylethyl)dimethylsilyl]-13-iodo-L-arabino-D-allo-tridec-12-enonic acid methyl ester
Molecular Formula C32H63IO7Si3
Molecular Weight 771.00
CAS Registry Number 157322-83-3
Properties
Solubility Insoluble (3.8E-4 g/L) (25 ºC), Calc.*
Density 1.14±0.1 g/cm3 (20 ºC 760 Torr), Calc.*
* Calculated using Advanced Chemistry Development (ACD/Labs) Software V11.02 (©1994-2017 ACD/Labs)
Market Analysis Reports
List of Reports Available for (12E)-3,7:6,10-Dianhydro-2,4,5,12,13-pentadeoxy-8,9,11-tris-O-[(1,1-dimethylethyl)dimethylsilyl]-13-iodo-L-arabino-D-allo-tridec-12-enonic acid methyl ester
Related Products
1,2:4,5-Dianhydro-3-deoxypentitol  2,3:4,5-Dianhydro-1,6-di-O-(methylsulfonyl)-L-iditol  1,2:5,6-Dianhydrogalactitol  1,4:3,6-Dianhydro-D-glucitol 2-acetate  (Z)-Dianhydro-D-glucitol mono(hydrogen 2-butenedioate)  1,4:3,6-Dianhydro-alpha-D-glucopyranose  1,4:3,6-Dianhydro-D-threo-2,5-hexodiulose  1,4:3,6-Dianhydro-D-mannitol mono-9-octadecenoate  1,6:2,3-Dianhydro-beta-D-mannopyranose  1,6:2,3-Dianhydro-4-O-[6-methyl-2,3-bis-O-(phenylmethyl)-beta-D-glucopyranuronosyl]-beta-D-mannopyranose  1,5:2,3-Dianhydro-4,6-O-[(R)-phenylmethylene]-D-allitol  2,5:3,4-Dianhydro-6-O-2-propenyl-L-talose dimethyl acetal  1,6:2,3-Dianhydro-4-O-(2,3,4,6-tetra-O-acetyl-beta-D-glucopyranosyl)-beta-D-mannopyranose  4,4'-Dianilino-1,1'-binaphthyl-5,5'-disulfonic acid dipotassium salt  Di-p-anisoyl-D-tartaric acid  Di-p-anisoyl-L-tartaric acid  (1S)-3,3'-Di-9-anthracenyl-[1,1'-binaphthalene]-2,2'-diol  (1R)-3,3'-Di-9-anthracenyl[1,1'-binaphthalene]-2,2'-diol  3,5-Diamino-2,4,6-trimethylbenzenesulfonic acid  1,11-Diamino-3,6,9-trioxaundecane