Online Database of Chemicals from Around the World

zeta-环糊精
[CAS# 156510-97-3]

供应商目录
卡博森斯化学科技 (苏州) 有限公司 中国 询价快递  
+86 (512) 6260-5585
sales@carbosynth.com
QQ 交谈
化学品生产商 (2006年起)
chemBlink 标准供应商 (2016年起)
zeta-环糊精供应商总目录
基本信息
英文名 zeta-Cyclodextrin
产品名称 zeta-环糊精
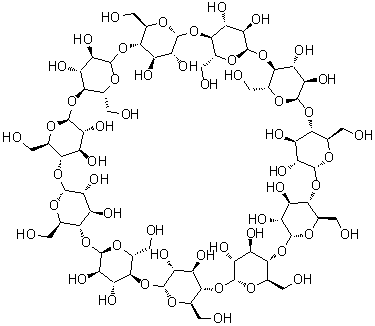
分子结构 CAS 登录号:156510-97-3, zeta-环糊精
分子式 C66H110O55
分子量 1783.55
CAS 登录号 156510-97-3
物理化学性质
密度 1.624±0.06 g/cm3 (20 ºC 760 torr), 计算值*
* 使用计算软件 Advanced Chemistry Development (ACD/Labs) V11.02 (©1994-2016 ACD/Labs)
市场分析报告
请浏览zeta-环糊精市场分析报告总目录
相关产品
玉米朊  Zelkovamycin  折那司他  3A型分子筛  4A 型分子筛  5A 型分子筛  13X型分子筛  泽渥萜  折仑诺  呋草黄  扎鲁司特  扎西他滨  扎达来特马来酸盐  扎雷普隆  唑替丁  扎托布洛芬  扎托布洛芬  Zamanic acid  扎非那新  扎非那新富马酸盐