Online Database of Chemicals from Around the World

(4,4',4'',4'''-四磺酸基酞菁)钴
[CAS# 14285-59-7]

供应商目录
CAS: 14285-59-7
产品: (4,4',4'',4'''-四磺酸基酞菁)钴
暂时没有厂家供应
基本信息
英文名 (4,4',4'',4'''-Tetrasulfophthalocyaninato)cobalt
别名 29H,31H-Phthalocyanine-2,9,16,23-tetrasulfonic acid, cobalt complex; [Tetrahydrogen 4,4',4'',4'''-phthalocyaninetetrasulfonato(2-)]cobalt; Cobalt 4,4',4'',4'''-tetrasulfophthalocyanine
产品名称 (4,4',4'',4'''-四磺酸基酞菁)钴
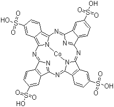
分子结构 CAS 登录号:14285-59-7, (4,4',4'',4'''-四磺酸基酞菁)钴
分子式 C32H12CoN8O12S4.4H
分子量 891.70
CAS 登录号 14285-59-7
EC 号码 238-200-7
安全数据
危害分类
up    说明
危害分类类别码危害标签
眼刺激Eye Irrit.2H319
皮肤致敏Skin Sens.1AH317
市场分析报告
请浏览(4,4',4'',4'''-四磺酸基酞菁)钴市场分析报告总目录
相关产品
[C-[[(3-氨基-4-磺基苯基)氨基]磺酰基]-29H,31H-酞菁-C,C,C-三磺酸基-N29,N30,N31,N32]镍酸四钠盐  四钠羰基二膦酸酯  磷雌酚四钠盐  2-膦酸基丁烷-1,2,4-三羧酸四钠  [2-[[1-羟基-3-磺基-6-[[3-磺基-4-[2-[2-磺基-4-[[4-[(4-磺基苯基)偶氮]苯基]-ONN-氧偶氮基]苯基]乙烯基]苯基]-NNO-氧偶氮基]-2-萘基]偶氮]苯甲酸]铜酸四钠盐  亚氨基二琥珀酸四钠盐  1,3,6,8-芘四磺酸四钠盐  焦磷酸钠  乙烯基二膦酸四钠盐  四磺化酞菁镍钠盐  氧化铽  四-alpha-松油基原钛酸酯  四叔丁氧基锡  2,2',6,6'-四叔丁基-4,4'-联苯二酚  3,3',5,5'-四叔丁基-2,2'-联苯二酚  3,3',5,5'-四叔丁基-4,4'-联苯醌  2,11,20,29-四叔丁基-2,3-萘酞菁  四叔丁基钛酸酯  1,4,7,10-四叔丁基苝  1,6,7,12-四叔丁基苯氧基苝-3,4,9,10-四甲酸二酐