Online Database of Chemicals from Around the World

Faropenem daloxate
[CAS# 141702-36-5]

List of Suppliers
BOC Sciences USA Inquire  
+1 (631) 485-4226
info@bocsci.com
Chemical manufacturer
chemBlink standard supplier since 2010
Alfa Chemistry USA Inquire  
+1 (201) 478-8534
inquiry@alfa-chemistry.com
Chemical distributor since 2012
chemBlink standard supplier since 2012
Complete supplier list of Faropenem daloxate
Identification
Classification API >> Antibiotics >> Beta-lactamase inhibitor
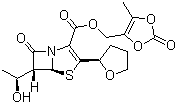
Name Faropenem daloxate
Synonyms (5R,6S)-6-[1(R)-Hydroxyethyl]-2-[2(R)-tetrahydrofuryl]-2-penem-3-carboxylic acid 5-methyl-2-oxo-1,3-dioxol-4-ylmethyl ester
Molecular Structure CAS # 141702-36-5, Faropenem daloxate, (5R,6S)-6-[1(R)-Hydroxyethyl]-2-[2(R)-tetrahydrofuryl]-2-penem-3-carboxylic acid 5-methyl-2-oxo-1,3-dioxol-4-ylmethyl ester
Molecular Formula C17H19NO8S
Molecular Weight 397.40
CAS Registry Number 141702-36-5
Market Analysis Reports
List of Reports Available for Faropenem daloxate
Related Products
Farglitazar  Farinomalein  Farnesal  Farnesol  (E,E)-Farnesol  Farnesyl acetate  Farnesylacetic acid  Farnesyl acetone  Farnesylacetone  Farnochrol  Faropenem Epimer Impurity  Faropenem Impurity 11 Disodium Salt  Faropenem sodium  Faropenem sodium hemipentahydrate  Farrerol  Fasoracetam  Fast Black 100  Fast Black K  Fast Blue  Fast Blue B