Online Database of Chemicals from Around the World

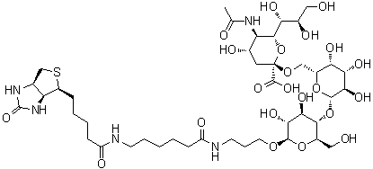
(3aS,4S,6aR)-N-[6-[[3-[[O-(N-乙酰基-alpha-神经胺酸基)-(2→6)-O-beta-D-吡喃半乳糖基-(1→4)-beta-D-吡喃葡萄糖基]氧基]丙基]氨基]-6-氧代己基]六氢-2-氧代-1H-噻吩并[3,4-d]咪唑-4-戊酰胺
[CAS# 1384441-62-6]

基本信息
产品分类 有机原料 >> 杂环化合物 >> 咪唑化合物
英文名 (3aS,4S,6aR)-N-[6-[[3-[[O-(N-Acetyl-alpha-neuraminosyl)-(2→6)-O-beta-D-galactopyranosyl-(1→4)-beta-D-glucopyranosyl]oxy]propyl]amino]-6-oxohexyl]hexahydro-2-oxo-1H-thieno[3,4-d]imidazole-4-pentanamide
产品名称 (3aS,4S,6aR)-N-[6-[[3-[[O-(N-乙酰基-alpha-神经胺酸基)-(2→6)-O-beta-D-吡喃半乳糖基-(1→4)-beta-D-吡喃葡萄糖基]氧基]丙基]氨基]-6-氧代己基]六氢-2-氧代-1H-噻吩并[3,4-d]咪唑-4-戊酰胺
分子结构 CAS 登录号:1384441-62-6, (3aS,4S,6aR)-N-[6-[[3-[[O-(N-乙酰基-alpha-神经胺酸基)-(2→6)-O-beta-D-吡喃半乳糖基-(1→4)-beta-D-吡喃葡萄糖基]氧基]丙基]氨基]-6-氧代己基]六氢-2-氧代-1H-噻吩并[3,4-d]咪唑-4-戊酰胺
分子式 C42H71N5O22S
分子量 1030.10
CAS 登录号 1384441-62-6
物理化学性质
溶解度 极微溶解 (0.28 g/L) (25 ºC), 计算值*
密度 1.54±0.1 g/cm3 (20 ºC 760 torr), 计算值*
* 使用计算软件 Advanced Chemistry Development (ACD/Labs) V11.02 (©1994-2016 ACD/Labs)
市场分析报告
请浏览(3aS,4S,6aR)-N-[6-[[3-[[O-(N-乙酰基-alpha-神经胺酸基)-(2→6)-O-beta-D-吡喃半乳糖基-(1→4)-beta-D-吡喃葡萄糖基]氧基]丙基]氨基]-6-氧代己基]六氢-2-氧代-1H-噻吩并[3,4-d]咪唑-4-戊酰胺市场分析报告总目录
相关产品
(3beta,15alpha,23R,24S)-23-(乙酰氧基)-3-(alpha-L-阿拉伯吡喃糖基氧基)-24,25-环氧-15-羟基-9,19-环羊毛甾烷-16-酮  (3beta)-3-(乙酰氧基)-17-(1H-苯并咪唑-1-基)雄甾-5,16-二烯-16-甲醛  2-(乙酰氧基)苯甲酸和 3,7-二氢-1,3,7-三甲基-1H-嘌呤-2,6-二酮和 N,N-二甲基-2-[(2-甲基苯基)苯基甲氧基]乙胺和 2-羟基-1,2,3-丙烷三甲酸的混合物  2-(乙酰氧基)苯甲酸和 2-羟基苯甲酸的聚合物  (4R,5S,6S)-5-(乙酰氧基)-4-(苯甲酰氧基)-6-[(苯甲酰氧基)甲基]-6-羟基-2-环己烯-1-酮  [2aR-(2aalpha,4beta,4abeta,6beta,9alpha,11alpha,12alpha,12aalpha,12balpha)]-12b-(乙酰氧基)-12-(苯甲酰氧基)-1,2a,3,4,4a,6,9,10,11,12,12a,12b-十二氢-4,9,11-三羟基-6-甲氧基-4a,8,13,13-四甲基-7,11-甲桥-5H-环癸五烯并[3,4]苯并[1,2-b]氧杂环丁烯-5-酮  2'-(乙酰氧基)-[1,1'-联苯]-2-羧酸 4-(乙酰氨基)苯基酯  (2R)-2-(乙酰氧基)-N-[(1S,2S,3R)-2,3-双(乙酰氧基)-1-[(乙酰氧基)甲基]十七烷基]二十四碳酰胺  2-(乙酰氧基)-N,N-二[2-(乙酰氧基)乙基]丙酰胺  (7alpha,17beta)-17-(乙酰氧基)-7-(9-溴壬基)雌甾-4-烯-3-酮  (3aS,4S,6aR)-N-[6-[[3-[[O-(N-乙酰基-alpha-神经胺酸基)-(2→3)-O-beta-D-吡喃半乳糖基-(1→4)-beta-D-吡喃葡萄糖基]氧基]丙基]氨基]-6-氧代己基]六氢-2-氧代-1H-噻吩并[3,4-d]咪唑-4-戊酰胺  O-(N-乙酰基-alpha-神经胺酸基)-(2→3)-O-beta-D-吡喃半乳糖基-(1→4)-D-葡萄糖单钠盐  O-(N-乙酰基-alpha-神经胺酰基)-[2→3(or 2→6)]-O-beta-D-吡喃半乳糖基-(1→4)-O-2-(乙酰氨基)-2-脱氧-beta-D-吡喃葡萄糖基-(1→2)-O-alpha-D-甘露糖基-(1→6)-O-[O-(N-乙酰基-alpha-神经胺酰基)-[2→3(or 2→6)]-O-beta-D-吡喃半乳糖基-(1→4)-O-2-(乙酰氨基)-2-脱氧-beta-D-吡喃葡萄糖基-(1→2)-O-[O-(N-乙酰基-alpha-神经胺酰基)-[2→3(or 2→6)]-O-beta-D-吡喃半乳糖基-(1→4)-2-(乙酰氨基)-2-脱氧-beta-D-吡喃葡萄糖基-(1→4)]-alpha-D-甘露糖基-(1→3)]-O-beta-D-甘露糖基-(1→4)-O-2-(乙酰氨基)-2-脱氧-beta-D-吡喃葡萄糖基-(1→4)-2-(乙酰氨基)-2-脱氧-D-葡萄糖  O-(N-乙酰基-alpha-神经胺酰基)-[2→3(or 2→6)]-O-beta-D-吡喃半乳糖基-(1→4)-O-2-(乙酰氨基)-2-脱氧-beta-D-吡喃葡萄糖基-(1→2)-O-alpha-D-甘露糖基-(1→3)-O-[O-(N-乙酰基-alpha-神经胺酰基)-[2→3(or 2→6)]-O-beta-D-吡喃半乳糖基-(1→4)-O-2-(乙酰氨基)-2-脱氧-beta-D-吡喃葡萄糖基-(1→2)-alpha-D-甘露糖基-(1→6)]-O-beta-D-甘露糖基-(1→4)-O-2-(乙酰氨基)-2-脱氧-beta-D-吡喃葡萄糖基-(1→4)-O-[6-脱氧-alpha-L-吡喃半乳糖基-(1→6)]-2-(乙酰氨基)-2-脱氧-D-葡萄糖  O-(N-乙酰基-alpha-神经胺酰基)-[2→3(or 2→6)]-O-beta-D-吡喃半乳糖基-(1→4)-O-2-(乙酰氨基)-2-脱氧-beta-D-吡喃葡萄糖基-(1→2)-O-alpha-D-甘露糖基-[1→3(or 1→6)]-O-[O-beta-D-吡喃半乳糖基-(1→4)-O-2-(乙酰氨基)-2-脱氧-beta-D-吡喃葡萄糖基-(1→2)-alpha-D-甘露糖基-[1→6(or 1→3)]]-O-beta-D-甘露糖基-(1→4)-O-2-(乙酰氨基)-2-脱氧-beta-D-吡喃葡萄糖基-(1→4)-2-(乙酰氨基)-2-脱氧-D-葡萄糖  2-乙酰基-5-硝基苯并[b]呋喃  3-乙酰基-5-硝基苯甲酸  2-乙酰基-7-硝基芴  1-乙酰基-5-硝基吲哚啉  2-乙酰基-4-硝基-1H-异吲哚-1,3(2H)-二酮