Online Database of Chemicals from Around the World

(3beta,12beta,20R)-12,20,25-三羟基达玛烷-3-基 beta-D-吡喃葡萄糖苷
[CAS# 1370040-12-2]

供应商目录
CAS: 1370040-12-2
产品: (3beta,12beta,20R)-12,20,25-三羟基达玛烷-3-基 beta-D-吡喃葡萄糖苷
暂时没有厂家供应
基本信息
英文名 (3beta,12beta,20R)-12,20,25-Trihydroxydammaran-3-yl beta-D-glucopyranoside
产品名称 (3beta,12beta,20R)-12,20,25-三羟基达玛烷-3-基 beta-D-吡喃葡萄糖苷
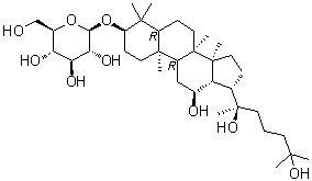
分子结构 CAS 登录号:1370040-12-2, (3beta,12beta,20R)-12,20,25-三羟基达玛烷-3-基 beta-D-吡喃葡萄糖苷
分子式 C36H64O9
分子量 640.89
CAS 登录号 1370040-12-2
物理化学性质
溶解度 不溶 (1.1e-3 g/L) (25 ºC), 计算值*
密度 1.22±0.1 g/cm3 (20 ºC 760 torr), 计算值*
* 使用计算软件 Advanced Chemistry Development (ACD/Labs) V11.02 (©1994-2015 ACD/Labs)
市场分析报告
请浏览(3beta,12beta,20R)-12,20,25-三羟基达玛烷-3-基 beta-D-吡喃葡萄糖苷市场分析报告总目录
相关产品
三羟甲基丙烷辛癸酸酯  7,3',4'-三羟基-3-苄基-2H-苯并吡喃  2,3,4-三羟基苄基肼  3,3',5-三羟基联苯  (3beta,5beta)-3,14,19-三羟基蟾蜍-20,22-二烯内酯  2',4',6'-三羟基查耳酮  3,4,5-三羟基肉桂酸  6alpha,16,18-三羟基克罗-3,13-二烯-15,16-内酯  4,5,7-三羟基香豆素  三羟基铜(1-)  (3beta,12beta,20S)-三羟基达马-24-烯 20-O-[alpha-吡喃鼠李糖基-(1→2)]-beta-吡喃葡萄糖苷  (3beta,6alpha,12beta,20Z)-3,12,25-三羟基达马-20(22)-烯-6-基 2-O-(6-脱氧-alpha-L-甘露糖基)-beta-D-吡喃葡萄糖苷  (3beta,6alpha,12beta,20E)-3,12,25-三羟基达马-20(22)-烯-6-基 2-O-6-脱氧-alpha-L-甘露糖基-beta-D-吡喃葡萄糖苷  5,7,4'-三羟基-3,6-二甲氧基-3',5'-二异戊烯基黄酮  5,3',4'-三羟基-3,7-二甲氧基黄酮  5,7,4'-三羟基-3,6-二甲氧基黄酮  5,2',6'-三羟基-7,8-二甲氧基黄酮  3,4',5'-三羟基-6,7-二甲氧基黄酮  2,3,4'-三羟基-3',5'-二甲氧基苯丙酮  7,9,12-三羟基-2,2-二甲基-2H,6H-吡喃并[3,2-b]氧杂蒽-6-酮