Online Database of Chemicals from Around the World

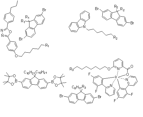
[6-[[6-(2,7-二溴-9-辛基-9H-芴-9-基)己基]氧基]-2-吡啶羧基]二[3,5-二氟-2-(2-吡啶基)苯基]-铱与2,2'-[(2,7-二溴-9H-芴-9-亚基)二(6,1-己烷二基氧基-4,1-亚苯基)]二[5-[4-叔丁基苯基]-1,3,4-恶二唑],9,9'-[(2,7-二溴-9H-芴-9-亚基)二-6,1-己烷二基]二[9H-咔唑]和2,2'-(9,9-二癸基-9H-芴-2,7-二基)二[4,4,5,5-四甲基-1,3,2-二氧硼戊环]的聚合物
[CAS# 1352919-20-0]

供应商目录
CAS: 1352919-20-0
产品: [6-[[6-(2,7-二溴-9-辛基-9H-芴-9-基)己基]氧基]-2-吡啶羧基]二[3,5-二氟-2-(2-吡啶基)苯基]-铱与2,2'-[(2,7-二溴-9H-芴-9-亚基)二(6,1-己烷二基氧基-4,1-亚苯基)]二[5-[4-叔丁基苯基]-1,3,4-恶二唑],9,9'-[(2,7-二溴-9H-芴-9-亚基)二-6,1-己烷二基]二[9H-咔唑]和2,2'-(9,9-二癸基-9H-芴-2,7-二基)二[4,4,5,5-四甲基-1,3,2-二氧硼戊环]的聚合物
暂时没有厂家供应
基本信息
产品分类 有机原料 >> 杂环化合物 >> 咔唑化合物
英文名 [6-[[6-(2,7-Dibromo-9-octyl-9H-fluoren-9-yl)hexyl]oxy]-2-pyridinecarboxylato]bis[3,5-difluoro-2-(2-pyridinyl)phenyl]-iridium polymer with 2,2'-[(2,7-dibromo-9H-fluoren-9-ylidene)bis(6,1-hexanediyloxy-4,1-phenylene)]bis[5-[4-(1,1-dimethylethyl)phenyl]-1,3,4-oxadiazole], 9,9'-[(2,7-dibromo-9H-fluoren-9-ylidene)di-6,1-hexanediyl]bis[9H-carbazole] and 2,2'-(9,9-didecyl-9H-fluorene-2,7-diyl)bis[4,4,5,5-tetramethyl-1,3,2-dioxaborolane]
产品名称 [6-[[6-(2,7-二溴-9-辛基-9H-芴-9-基)己基]氧基]-2-吡啶羧基]二[3,5-二氟-2-(2-吡啶基)苯基]-铱与2,2'-[(2,7-二溴-9H-芴-9-亚基)二(6,1-己烷二基氧基-4,1-亚苯基)]二[5-[4-叔丁基苯基]-1,3,4-恶二唑],9,9'-[(2,7-二溴-9H-芴-9-亚基)二-6,1-己烷二基]二[9H-咔唑]和2,2'-(9,9-二癸基-9H-芴-2,7-二基)二[4,4,5,5-四甲基-1,3,2-二氧硼戊环]的聚合物
分子结构 CAS 登录号:1352919-20-0, [6-[[6-(2,7-二溴-9-辛基-9H-芴-9-基)己基]氧基]-2-吡啶羧基]二[3,5-二氟-2-(2-吡啶基)苯基]-铱与2,2'-[(2,7-二溴-9H-芴-9-亚基)二(6,1-己烷二基氧基-4,1-亚苯基)]二[5-[4-叔丁基苯基]-1,3,4-恶二唑],9,9'-[(2,7-二溴-9H-芴-9-亚基)二-6,1-己烷二基]二[9H-咔唑]和2,2'-(9,9-二癸基-9H-芴-2,7-二基)二[4,4,5,5-四甲基-1,3,2-二氧硼戊环]的聚合物
CAS 登录号 1352919-20-0
市场分析报告
请浏览[6-[[6-(2,7-二溴-9-辛基-9H-芴-9-基)己基]氧基]-2-吡啶羧基]二[3,5-二氟-2-(2-吡啶基)苯基]-铱与2,2'-[(2,7-二溴-9H-芴-9-亚基)二(6,1-己烷二基氧基-4,1-亚苯基)]二[5-[4-叔丁基苯基]-1,3,4-恶二唑],9,9'-[(2,7-二溴-9H-芴-9-亚基)二-6,1-己烷二基]二[9H-咔唑]和2,2'-(9,9-二癸基-9H-芴-2,7-二基)二[4,4,5,5-四甲基-1,3,2-二氧硼戊环]的聚合物市场分析报告总目录
相关产品
2,6-二溴-4-硝基吡啶  2,5-二溴-3-硝基噻吩  1,9-二溴壬烷  2,2'-二溴-5,5',6,6',7,7',8,8'-八氢-1,1'-联萘  (S)-3,3'-二溴-5,5',6,6',7,7',8,8'-八氢-1,1'-联萘-2,2'-二醇  (1R)-3,3'-二溴-5,5',6,6',7,7',8,8'-八氢-[1,1'-联萘]-2,2'-二醇  1,8-二溴辛烷  4,7-二溴-2-辛基-2H-苯并三唑  2,7-二溴-9-辛基咔唑  2,6-二溴-4-辛基-4H-二噻吩并[3,2-b:2',3'-d]吡咯  2,7-二溴-9-(1-辛基壬基)-9H-咔唑  3,6-二溴-9-[4-(辛氧基)苯基]-9H-咔唑  1,3-二溴-5-辛基-4H-噻吩并[3,4-c]吡咯-4,6(5H)-二酮  2,5-二溴-3-辛基噻吩  4,16-二溴[2.2]二聚对二甲苯  1,15-二溴十五烷  1,2-二溴戊烷  1,5-二溴戊烷  2,3-二溴戊烷  1,4-二溴戊烷