Online Database of Chemicals from Around the World

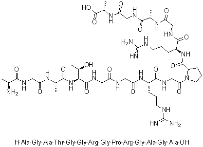
L-Alanylglycyl-L-alanyl-L-threonylglycylglycyl-L-arginylglycyl-L-prolyl-L-arginylglycyl-L-alanylglycyl-L-alanine
[CAS# 1330060-68-8]

Identification
Classification Biochemical >> Peptide
Name L-Alanylglycyl-L-alanyl-L-threonylglycylglycyl-L-arginylglycyl-L-prolyl-L-arginylglycyl-L-alanylglycyl-L-alanine
Molecular Structure CAS # 1330060-68-8, L-Alanylglycyl-L-alanyl-L-threonylglycylglycyl-L-arginylglycyl-L-prolyl-L-arginylglycyl-L-alanylglycyl-L-alanine
Protein Sequence 1-14 AGATGGRGPR GAGA
[14-E-OH;]
Molecular Formula C45H78N20O16
Molecular Weight 1155.23
CAS Registry Number 1330060-68-8
Properties
Solubility Very soluble (1000 g/L) (25 ºC), Calc.*
Density 1.56±0.1 g/cm3 (20 ºC 760 Torr), Calc.*
* Calculated using Advanced Chemistry Development (ACD/Labs) Software V11.02 (©1994-2016 ACD/Labs)
Market Analysis Reports
List of Reports Available for L-Alanylglycyl-L-alanyl-L-threonylglycylglycyl-L-arginylglycyl-L-prolyl-L-arginylglycyl-L-alanylglycyl-L-alanine
Related Products
L-alanyl-L-a-glutamyl-L-a-aspartyl-Glycine monoacetate  L-Alanyl-L-alpha-glutamyl-L-cysteinyl-L-alanyl-L-leucyl-L-lysyl-L-phenylalanyl-L-prolyl-L-asparaginyl-L-arginyl-L-glutaminyl-L-cysteinyl-L-leucine  L-Alanyl-L-alpha-glutamyl-L-leucyl-L-valyl-L-histidyl-L-phenylalanyl-L-leucyl-L-leucyl-L-leucine  L-Alanyl-L-alpha-glutamyl-L-leucyl-L-valyl-L-histidyl-L-phenylalanyl-L-leucyl-L-leucyl-L-leucyl-L-lysyl-L-tyrosyl-L-arginyl-L-alanyl-L-arginine  L-Alanyl-D-gamma-glutamyl-L-lysyl-D-alanyl-D-alanine  L-Alanyl-L-alpha-glutamyl-L-lysyl-L-lysyl-L-alanyl-L-alanyl-L-lysyl-L-lysyl-L-seryl-L-tyrosine  L-Alanyl-L-alpha-glutamyl-L-prolyl-L-isoleucyl-L-asparaginyl-L-isoleucyl-L-glutaminyl-L-threonyl-L-tryptophan  N-L-Alanylglycine  Alanylglycine methyl ester  Alanylglycine methyl ester  D-Alanylglycylglycine  L-Alanyl-L-histidyl-L-lysine  beta-Alanyl-L-isoleucine  L-Alanyl-L-isoleucyl-L-alanyl-L-seryl-L-leucyl-L-isoleucylglycyl-L-valyl-L-alpha-glutamylglycine  L-Alanyl-L-isoleucyl-L-isoleucyl-L-alpha-aspartyl-L-prolylglycyl-L-alpha-aspartyl-L-seryl-L-alpha-aspartyl-L-isoleucyl-L-isoleucyl-L-arginyl-L-seryl-L-methionyl-L-prolyl-L-alpha-glutamyl-L-glutaminyl-L-threonylglycyl-L-alpha-glutamyl-L-lysine  L-Alanyl-L-isoleucyl-L-isoleucyl-L-alpha-glutamyl-L-alpha-glutamyl-L-tyrosyl-L-leucyl-L-histidyl-L-leucine  L-Alanyl-L-isoleucyl-L-leucyl-L-alanyl-L-histidyl-L-leucyl-L-asparaginyl-L-threonyl-L-valine  L-Alanyl-L-isoleucyl-L-leucyl-L-alanyl-L-leucyl-L-leucyl-L-prolyl-L-alanyl-L-leucine  L-Alanyl-L-leucine  DL-Alanyl-DL-leucine