Online Database of Chemicals from Around the World

beta-环糊精 2-羟基乙基醚
[CAS# 128446-32-2]

供应商目录
厦门志信化学有限公司 中国 询价快递  
+86 13806087780
sale@simagchem.com
化学品生产商 (2002年起)
chemBlink 标准供应商 (2008年起)
合肥天健化工有限公司 中国 询价快递  
+86 (551) 6541-8684
sales@tnjchem.com
化学品生产商 (2001年起)
chemBlink 标准供应商 (2010年起)
BOC Sciences 美国 询价快递  
+1 (631) 485-4226
info@bocsci.com
化学品生产商
chemBlink 标准供应商 (2010年起)
山东滨州智源生物科技有限公司 中国 询价快递  
+86 (543) 818-6048
klaus.chen@cydextrin.com
化学品生产商 (2010年起)
chemBlink 标准供应商 (2013年起)
beta-环糊精 2-羟基乙基醚供应商总目录
基本信息
产品分类 化学试剂 >> 有机试剂 >> 环糊精
英文名 beta-Cyclodextrin 2-hydroxyethyl ethers
产品名称 beta-环糊精 2-羟基乙基醚; 羟乙基-beta-环糊精
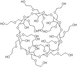
分子结构 CAS 登录号:128446-32-2, beta-环糊精 2-羟基乙基醚, 羟乙基-beta-环糊精
分子式 C70H126O49
分子量 1751.74
CAS 登录号 128446-32-2
安全数据
SDS 化学品安全技术说明书参考文本
市场分析报告
请浏览beta-环糊精 2-羟基乙基醚市场分析报告总目录
相关产品
环庚三烯三羰基铬  环癸烷  环癸酮  beta-环糊精  beta-环糊精磷酸二氢酯钠盐  gamma-环糊精磷酸二氢酯钠盐  alpha-环糊精磷酸二氢酯钠盐  beta-环糊精-环氧氯丙烷共聚物  beta-环糊精水合物  alpha-环糊精硫酸钠盐水合物  gamma-环糊精 2-羟基丙基醚  甲基倍他环糊精  beta-环糊精全苯甲酸酯  beta-环糊精 6-对甲苯磺酸酯  甲烷二磺酸乙二醇环酯  环十二烷  1,4-环十二烷二醇  环十二醇  环十二酮  1,5,9-环十二烷三烯