Online Database of Chemicals from Around the World

聚乙二醇双二苯甲酮-2-羧酸酯
[CAS# 1246194-73-9]

供应商目录
杭州汤捷姆化工贸易有限公司 中国 询价快递  
+86 13388471767
sales@tjmchem.com
化学品生产商
chemBlink 标准供应商 (2011年起)
聚乙二醇双二苯甲酮-2-羧酸酯供应商总目录
基本信息
产品分类 催化剂及助剂 >> 聚乙二醇衍生物
英文名 Bis(benzophenone-2-carboxylic acid) polyethylene glycol ester
产品名称 聚乙二醇双二苯甲酮-2-羧酸酯
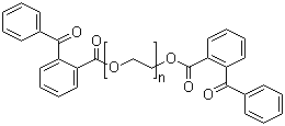
分子结构 CAS 登录号:1246194-73-9, 聚乙二醇双二苯甲酮-2-羧酸酯
分子式 C28H18O5.(C2H4O)n
CAS 登录号 1246194-73-9
市场分析报告
请浏览聚乙二醇双二苯甲酮-2-羧酸酯市场分析报告总目录
相关产品
二苯甲酰二硫化硫胺  二(4-苯甲酰胺基-6-甲氧基间甲苯重氮基)四氯锌酸盐  双苯铬  双(苯)钒  1,4-二(苯乙二酰基)苯  2,6-二(1H-苯并咪唑-2-基)吡啶  4-[二(1,3-苯并二氧杂环戊烯-5-基)羟基甲基]-1-哌啶羧酸 2,2,2-三氟-1-(三氟甲基)乙基酯  双(氰苯)二氯铂(II)  二苯腈合二氯化铂  二(氰基苯)二氯化钯  双(2-苯并[h]喹啉-C2,N')(乙酰丙酮)合铱(III)  (OC-6-33)-双[2-(2-苯并噻唑基-kN3)苯基-kC](2,4-戊二酮酸-kO,kO')铱  双[2-(2-苯并噻唑基)苯酚]锌  双(2-(2'-苯并噻吩基)吡啶-N,C3')(乙酰丙酮)合铱  双(1-苯并[d]三唑)碳酸酯  双[2-(2-苯并恶唑基)苯酚]锌 (II)  1,3-二(4-苯甲酰基-3-羟基苯氧基)丙-2-基甲基丙烯酸酯  2,2-二氟-1-甲磺酰氧基-2-脱氧核糖-3,5-二苯甲酸酯  (2R,3R)-2,3-二(苯甲酰氧基)-丁二酸与(2R)-2-[2-(1,3-二恶烷-2-基)乙基]-1-甲基吡咯烷的化合物  [S-(R',R')]-2,3-双(苯甲酰氧基)丁二酸和 [S-(R',R')]-[1-乙基-2-(苯基甲氧基)丙基]肼的化合物