Online Database of Chemicals from Around the World

七(6-O-叔丁基二甲基硅烷基)-beta-环糊精
[CAS# 123155-03-3]

供应商目录
卡博森斯化学科技 (苏州) 有限公司 中国 询价快递  
+86 (512) 6260-5585
sales@carbosynth.com
QQ 交谈
化学品生产商 (2006年起)
chemBlink 标准供应商 (2016年起)
七(6-O-叔丁基二甲基硅烷基)-beta-环糊精供应商总目录
基本信息
产品分类 化学试剂 >> 有机试剂 >> 环糊精
英文名 Heptakis(6-O-tert-butyldimethylsilyl)-beta-cyclodextrin
产品名称 七(6-O-叔丁基二甲基硅烷基)-beta-环糊精
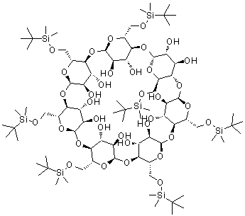
分子结构 CAS 登录号:123155-03-3, 七(6-O-叔丁基二甲基硅烷基)-beta-环糊精
分子式 C84H168O35Si7
分子量 1934.81
CAS 登录号 123155-03-3
物理化学性质
溶解度 极易溶解 (1000 g/L) (25 ºC), 计算值*
密度 1.135±0.06 g/cm3 (20 ºC 760 torr), 计算值*
熔点 314-318 ºC (分解 (m乙醇 )**
* 使用计算软件 Advanced Chemistry Development (ACD/Labs) V11.02 (©1994-2016 ACD/Labs)
** Fugedi, Peter; Carbohydrate Research 1989, V192, P366-9.
市场分析报告
请浏览七(6-O-叔丁基二甲基硅烷基)-beta-环糊精市场分析报告总目录
相关产品
全氟环醚  七(乙酸)氧化三钌  七(3-O-乙酰基-2,6-二-O-甲基)-beta-环糊精  七(6-溴-6-脱氧)-beta-环糊精  3A,3B,3C,3D,6E,6F,6G-七-O-(羧甲基)-beta-环糊精  二甲基-bata-环糊精  七(2,6-二-O-叔丁基二甲基硅烷基)-beta-环糊精  七-O-(2-羟基丙基)-beta-环糊精  七(6-碘-6-脱氧)-beta-环糊精  N1-[3-[3,5,7,9,11,13,15-七(2-甲基丙基)五环[9.5.1.1(3,9).1(5,15).1(7,13)]八硅氧烷-1-基]丙基]-1,2-乙二胺  七(6-硫代-6-脱氧)-beta-环糊精  庚醛  3',4',5',3,5,7,8-七甲氧基黄酮  3',4',3,5,6,7,8-七甲氧基黄酮  3,3'',4'',5,5'',6,7-六甲氧基黄酮  七甲基二硅氮烷  七甲基二硅氮烷  1,1,1,3,5,5,5-七甲基-3-辛基三硅氧烷  1,1,1,3,3,5,5-七甲基三硅氧烷  七甲基三硅氧烷