Online Database of Chemicals from Around the World
产品搜索
|
产品提交
|
English
主页
>>
化工产品目录
>>
M
>> 油酸汞
油酸汞
[CAS# 1191-80-6]
供应商目录
CAS: 1191-80-6
产品: 油酸汞
暂时没有厂家供应
基本信息
产品分类
生物化工
>>
脂肪类药
英文名
Mercuric oleate
产品名称
油酸汞
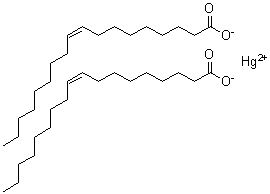
分子结构
分子式
Hg(C
18
H
31
O
2
)
2
分子量
759.47
CAS 登录号
1191-80-6
EC 号码
214-741-4
安全数据
是否危险化学品
是,查详情。
市场分析报告
请浏览油酸汞市场分析报告总目录
相关产品
N2'-去乙酰基-N2'-(3-巯基-1-氧代丙基)美登素
中康酸
新乌头碱
中乌头碱
美沙拉嗪 13C6
美沙拉秦(美沙拉嗪) EP 杂质J二盐酸盐
蛤素
砷酸汞
溴化汞
硝酸汞二水合物
氧氰化汞
硫酸汞
碲化汞
三氟乙酸汞
核酸汞
乙酸亚汞
溴化亚汞
氯化亚汞
硝酸亚汞
硝酸亚汞一水合物