Online Database of Chemicals from Around the World

3,7-二氢-3,7-二甲基-1-(5-氧代己基-4,4,6,6,6-五氘代)-1H-嘌呤-2,6-二酮
[CAS# 1185995-18-9]

供应商目录
CAS: 1185995-18-9
产品: 3,7-二氢-3,7-二甲基-1-(5-氧代己基-4,4,6,6,6-五氘代)-1H-嘌呤-2,6-二酮
暂时没有厂家供应
基本信息
英文名 3,7-Dihydro-3,7-dimethyl-1-(5-oxohexyl-4,4,6,6,6-d5)-1H-purine-2,6-dione
产品名称 3,7-二氢-3,7-二甲基-1-(5-氧代己基-4,4,6,6,6-五氘代)-1H-嘌呤-2,6-二酮
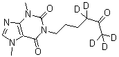
分子结构 CAS 登录号:1185995-18-9, 3,7-二氢-3,7-二甲基-1-(5-氧代己基-4,4,6,6,6-五氘代)-1H-嘌呤-2,6-二酮
分子式 C13H13D5N4O3
分子量 283.34
CAS 登录号 1185995-18-9
市场分析报告
请浏览3,7-二氢-3,7-二甲基-1-(5-氧代己基-4,4,6,6,6-五氘代)-1H-嘌呤-2,6-二酮市场分析报告总目录
相关产品
N-[2,3-二氢-1,3-二甲基-6-[(2R)-2-甲基-1-哌嗪基]-2-氧代-1H-苯并咪唑-5-基]-2-甲氧基苯甲酰胺  5,6-二氢-6,6-二甲基-2-[2-[(1-甲基-1H-吡唑-5-基)氨基]-4-嘧啶基]-5-[2-(4-吗啉基)乙基]-4H-噻吩并[2,3-c]吡咯-4-酮  5-[8,9-二氢-6,6-二甲基-4-(4-吗啉基)-6H-[1,4]恶嗪并[4,3-e]嘌呤-2-基]-2-嘧啶胺  6,11-二氢-6,6-二甲基-8-[4-(4-吗啉基)-1-哌啶基]-11-氧代-5H-苯并[b]咔唑-3-甲腈  3,4-二氢-2,2-二甲基-2H-萘并[1,2-b]吡喃  3,4-二氢-2,2-二甲基-2H-萘并[1,2-b]吡喃-5,6-二酮  2,3-二氢-2,2-二甲基-6-硝基-4H-1-苯并吡喃-4-酮  1,4-二氢-2,6-二甲基-4-(3-硝基苯基)-3,5-吡啶二甲酸二(2-甲氧基乙基)酯  1,4-二氢-2,6-二甲基-4-(3-硝基苯基)-3,5-吡啶二甲酸二异丙酯  4-[1-(4,5-二氢-4,4-二甲基-2-恶唑基)-1-甲基乙基]苯乙醇  4,5-二氢-1,8-二甲基-4-氧代咪唑并[1,2-a]喹喔啉-2-甲酸乙酯  1,2-二氢-3,3-二甲基-2-氧代-3H-吲哚  2,3-二氢-1,5-二甲基-3-氧代-2-苯基-1H-吡唑-4-羧酸  N-(2,3-二氢-1,5-二甲基-3-氧代-2-苯基-1H-吡唑-4-基)-3-(1-乙基-3-甲基-1H-吡唑-4-基)-4,5-二氢-5-异恶唑甲酰胺  4-[(2,3-二氢-5,6-二甲氧基-1-氧代-1H-茚-2-基)甲基]-1,1-二苄基哌啶鎓溴化物  (2R)-2,3-二氢-5,7-二甲氧基-2-苯基-4H-1-苯并吡喃-4-酮  (2E)-2,3-二氢-5,6-二甲氧基-2-[[1-(苯基甲基)-4-哌啶基]亚甲基]-1H-茚-1-酮  2,3-二氢-5,6-二甲氧基-2-[[1-(苯基甲基)-4-哌啶基]甲基]-1H-茚-1-醇  2,3-二氢-5,6-二甲氧基-2-[[1-(苯基甲基)-4-哌啶基]甲基]-1H-茚-1-酮 N-氧化物  2,3-二氢-6,7-二甲氧基-1,4-酞嗪二酮