Online Database of Chemicals from Around the World

依维米星
[CAS# 109545-84-8]

供应商目录
BOC Sciences 美国 询价快递  
+1 (631) 485-4226
info@bocsci.com
化学品生产商
chemBlink 标准供应商 (2010年起)
依维米星供应商总目录
基本信息
产品分类 原料药 >> 抗生素类药物
英文名 Evernimicin
别名 Everninomicin; Everninomicin 13384-1; Sch 27899; Ziracin; 56-deacetyl-57-demethyl-45-O-de(2-methyl-1-oxopropyl)-12-O-(2,3,6-trideoxy-3-C-methyl-4-O-methyl-3-nitro-alpha-L-arabino-hexopyranosyl)flambamycin 56-(2,4-dihydroxy-6-methylbenzoate)
产品名称 依维米星
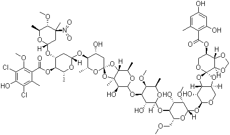
分子结构 CAS 登录号:109545-84-8, 依维米星
分子式 C70H97Cl2NO38
分子量 1631.41
CAS 登录号 109545-84-8
物理化学性质
密度 1.55
市场分析报告
请浏览依维米星市场分析报告总目录
相关产品
Ezatiostat 盐酸盐  依泽替米贝  依折麦布-d4  依折麦布脱羟基杂质  依折麦布3-脱羟基杂质  真黄素  尤替酮盐酸盐  印度黄酮  Evacetrapib  月见草油  依维莫司  依维莫司EP杂质B(酸)  依维莫司环-开杂质  Evobrutinib  依沃卡塞杂质1  吴茱萸新碱  吴茱萸碱  吴茱萸苦素  穆茱萸内酯醇  楝叶吴萸素 B