Online Database of Chemicals from Around the World

齐墩果酸-3-O-beta-D葡萄糖(1→3)-alpha-L-鼠李糖(1→2)-alpha-L-阿拉伯糖苷
[CAS# 103956-33-8]

供应商目录
BOC Sciences 美国 询价快递  
+1 (631) 485-4226
info@bocsci.com
化学品生产商
chemBlink 标准供应商 (2010年起)
成都曼思特生物科技有限公司 中国 询价快递  
+86 (28) 8528-7229
anniedai0203@gmail.com
化学品生产商 (2007年起)
chemBlink 标准供应商 (2012年起)
成都普瑞法科技开发有限公司 中国 询价快递  
+86 (28) 8263-3860
8263-3987
sales@biopurify.com
biopurify@gmail.com
QQ 交谈
Skype 聊天
化学品生产商
chemBlink 标准供应商 (2017年起)
常州新星联生物科技有限公司 中国 询价快递  
+86 (519) 8555-7386
+86 18015025600
marketing1@neostarunited.com
化学品供销商 (2014年起)
chemBlink 标准供应商 (2020年起)
Indofine Chemical Company, Inc. 美国 询价快递  
+1 (888) 463-6346
info@indofinechemical.com
化学品生产商 (1981年起)
齐墩果酸-3-O-beta-D葡萄糖(1→3)-alpha-L-鼠李糖(1→2)-alpha-L-阿拉伯糖苷供应商总目录
基本信息
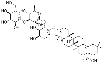
英文名 3-[(O-beta-D-Glucopyranosyl-(1→3)-O-6-deoxy-alpha-L-mannopyranosyl-(1→2)-alpha-L-arabinopyranosyl)oxy]-olean-12-en-28-oic acid
产品名称 齐墩果酸-3-O-beta-D葡萄糖(1→3)-alpha-L-鼠李糖(1→2)-alpha-L-阿拉伯糖苷
分子结构 CAS 登录号:103956-33-8, 齐墩果酸-3-O-beta-D葡萄糖(1→3)-alpha-L-鼠李糖(1→2)-alpha-L-阿拉伯糖苷
分子式 C47H76O16
分子量 897.10
CAS 登录号 103956-33-8
物理化学性质
溶解度 不溶 (2.9e-4 g/L) (25 ºc), 计算值*
密度 1.36±0.1 g/cm3 (20 ºc 760 torr), 计算值*
熔点 245-250 ºc**
* 使用计算软件 Advanced Chemistry Development (ACD/Labs) V11.02 (©1994-2013 ACD/Labs)
** Bang, Seong-Cheol; Chemical & Pharmaceutical Bulletin 2005, V53(11), P1451-1454.
市场分析报告
请浏览齐墩果酸-3-O-beta-D葡萄糖(1→3)-alpha-L-鼠李糖(1→2)-alpha-L-阿拉伯糖苷市场分析报告总目录
相关产品
2-[3-[1-[17-(alpha-D-吡喃葡萄糖基氧基)-5-氧代-9,12-二氧杂-6,15-二氮杂十七烷-1-基]-1,3-二氢-3,3-二甲基-2H-吲哚-2-亚基]-1-丙烯-1-基]-1,3,3-三甲基-3H-吲哚鎓  (3beta)-28-(beta-D-吡喃葡萄糖基氧基)-28-氧代齐墩果-12-烯-3-基 O-alpha-L-阿拉伯吡喃糖基-(1→3)-O-[beta-D-吡喃木糖基-(1→2)]-beta-D-吡喃葡糖苷酸  3-[4-(beta-D-吡喃葡萄糖基氧基)苯基]-2-丙烯酸  (2Z)-3-[4-(beta-D-吡喃葡萄糖基氧基)苯基]-2-丙烯酸  6-(beta-D-吡喃葡萄糖氧基)水杨酸甲酯  alpha-D-吡喃葡萄糖基磷酸二氢酯钡盐  (2E)-4-[(9-beta-D-吡喃葡萄糖基-9H-嘌呤-6-基)氨基]-2-甲基-2-丁烯-1-基 beta-D-吡喃葡萄糖苷  3-[[(9-beta-D-吡喃葡萄糖基-9H-嘌呤-6-基)氨基]甲基]苯酚  4-[[(9-beta-D-吡喃葡萄糖基-9H-嘌呤-6-基)氨基]甲基]苯酚  2-[[(9-beta-D-吡喃葡萄糖基-9H-嘌呤-6-基)氨基]甲基]苯酚  2-O-beta-吡喃葡萄糖基水杨酸  2-S-beta-D-吡喃葡萄糖基-2-硫代-D-葡萄糖  1-(3-beta-D-吡喃葡萄糖基-2,4,6-三羟基苯基)-3-(4-羟基苯基)-1-丙酮  4-beta-D-葡萄糖基-1,3,7-三羟基-9H-氧杂蒽-9-酮  beta-D-吡喃葡萄糖醛酸 1-(2-((苄氧羰基)苯甲酸酯)  [2S-[1[R*(R*)],2alpha,3abeta,7abeta]]-beta-D-吡喃葡萄糖醛酸 1-[1-[2-[(1-羧基丁基)氨基]-1-氧代丙基]八氢-1H-吲哚-2-羧酸酯]  beta-D-吡喃葡萄糖醛酸 1-[6-(4-氯苯基)-2,3-二氢-2,2-二甲基-7-苯基-1H-吡咯里嗪-5-乙酸酯]  alpha-D-吡喃葡萄糖醛酸 1-(磷酸二氢酯)钾盐  alpha-D-吡喃葡萄糖醛酸 1-(磷酸二氢酯)三钾盐  beta-D-吡喃葡萄糖醛酸 1-[N-[(1R)-3-[5,6-二氢-3-(三氟甲基)-1,2,4-三唑并[4,3-a]吡嗪-7(8H)-基]-3-氧代-1-[(2,4,5-三氟苯基)甲基]丙基]氨基甲酸酯]