|
CAS#: 99777-22-7 Product: [1-[[6-(Hydroxymethyl)-5-phosphonooxy-4-tetradecanoyloxy-oxan-3-yl]amino]-1-oxotetradecan-3-yl] tetradecanoate No suppilers available for the product. |
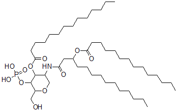
| Name | [1-[[6-(Hydroxymethyl)-5-phosphonooxy-4-tetradecanoyloxy-oxan-3-yl]amino]-1-oxotetradecan-3-yl] tetradecanoate |
|---|---|
| Synonyms | 1-[2-[[6-(Hydroxymethyl)-5-Phosphonooxy-4-Tetradecanoyloxy-Tetrahydropyran-3-Yl]Amino]-2-Oxo-Ethyl]Dodecyl Tetradecanoate; Tetradecanoic Acid 1-[2-[[6-(Hydroxymethyl)-4-(1-Oxotetradecoxy)-5-Phosphonooxy-3-Tetrahydropyranyl]Amino]-2-Oxoethyl]Dodecyl Ester; M |
| Molecular Structure | ![]() |
| Molecular Formula | C48H92NO11P |
| Molecular Weight | 890.23 |
| CAS Registry Number | 99777-22-7 |
| SMILES | C(C(OC1C(COC(C1O[P](=O)(O)O)CO)NC(CC(OC(=O)CCCCCCCCCCCCC)CCCCCCCCCCC)=O)=O)CCCCCCCCCCCC |
| InChI | 1S/C48H92NO11P/c1-4-7-10-13-16-19-21-24-27-30-33-36-45(52)58-41(35-32-29-26-23-18-15-12-9-6-3)38-44(51)49-42-40-57-43(39-50)48(60-61(54,55)56)47(42)59-46(53)37-34-31-28-25-22-20-17-14-11-8-5-2/h41-43,47-48,50H,4-40H2,1-3H3,(H,49,51)(H2,54,55,56) |
| InChIKey | DAJVWAYAPWDUTO-UHFFFAOYSA-N |
| Density | 1.072g/cm3 (Cal.) |
|---|---|
| Market Analysis Reports |
| List of Reports Available for [1-[[6-(Hydroxymethyl)-5-phosphonooxy-4-tetradecanoyloxy-oxan-3-yl]amino]-1-oxotetradecan-3-yl] tetradecanoate |