Online Database of Chemicals from Around the World

D-Phenylalanyl-L-Cycteingyl-L-Phenylalanyl-D-Tryptoph Yl-L-Lysyl-L-Threonyl-L-Cysteinyl-L-Threoninamide Cyclic (2-7)-Disulfide
[CAS# 99685-66-2]

Suppliers
CAS#: 99685-66-2
Product: D-Phenylalanyl-L-Cycteingyl-L-Phenylalanyl-D-Tryptoph Yl-L-Lysyl-L-Threonyl-L-Cysteinyl-L-Threoninamide Cyclic (2-7)-Disulfide
No suppilers available for the product.
Identification
Name D-Phenylalanyl-L-Cycteingyl-L-Phenylalanyl-D-Tryptoph Yl-L-Lysyl-L-Threonyl-L-Cysteinyl-L-Threoninamide Cyclic (2-7)-Disulfide
Synonyms 10-(4-Aminobutyl)-19-[(2-Amino-3-Phenyl-Propanoyl)Amino]-N-(1-Carbamoyl-2-Hydroxy-Propyl)-7-(1-Hydroxyethyl)-13-(1H-Indol-3-Ylmethyl)-6,9,12,15,18-Pentaoxo-16-(Phenylmethyl)-1,2-Dithia-5,8,11,14,17-Pentazacycloicosane-4-Carboxamide; 10-(4-Aminobutyl)-19-[(
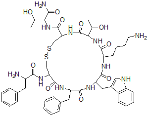
Molecular Structure CAS#: 99685-66-2, D-Phenylalanyl-L-Cycteingyl-L-Phenylalanyl-D-Tryptoph Yl-L-Lysyl-L-Threonyl-L-Cysteinyl-L-Threoninamide Cyclic (2-7)-Disulfide
Molecular Formula C49H65N11O10S2
Molecular Weight 1032.24
CAS Registry Number 99685-66-2
SMILES C1=C(C2=C([NH]1)C=CC=C2)CC4NC(=O)C(NC(=O)C(NC(=O)C(N)CC3=CC=CC=C3)CSSCC(NC(=O)C(NC(=O)C(NC4=O)CCCCN)C(O)C)C(=O)NC(C(=O)N)C(O)C)CC5=CC=CC=C5
InChI 1S/C49H65N11O10S2/c1-27(61)40(42(52)63)59-48(69)39-26-72-71-25-38(57-43(64)33(51)21-29-13-5-3-6-14-29)47(68)55-36(22-30-15-7-4-8-16-30)45(66)56-37(23-31-24-53-34-18-10-9-17-32(31)34)46(67)54-35(19-11-12-20-50)44(65)60-41(28(2)62)49(70)58-39/h3-10,13-18,24
InChIKey SGYDRBBPYPDBRO-UHFFFAOYSA-N
Properties
Density 1.407g/cm3 (Cal.)
Boiling point 1472.23°C at 760 mmHg (Cal.)
Flash point 844.174°C (Cal.)
Market Analysis Reports
List of Reports Available for D-Phenylalanyl-L-Cycteingyl-L-Phenylalanyl-D-Tryptoph Yl-L-Lysyl-L-Threonyl-L-Cysteinyl-L-Threoninamide Cyclic (2-7)-Disulfide
Related Products
5,5'-Bis-Trifluoromethyl-2,2'-Dichlorobi...  5,5-Dimethyl-1,2,3-Cyclohexanetrione 1,2...  6-[(5,10-Dihydro-5,10-Dioxoanthra[2,3-d]...  N-(2-Carboxyethyl)-N-nitro-beta-alanine  24-Norursodeoxycholic Acid  N-Chlorosulfonyl Dicyclohexylamine  3-Methyl-6-Nitro-3H-Benzothiazol-2-Ylide...  Hydroxypyruvaldehyde  Diethylamine-N-d1  Lys-Lys-Lys-Lys-OH  2-(3-Chlorophenyl)Malononitrile  1-Ethyl-4-Oxo-6,8-Difluoro-7-Piperazino-...  Exosurf  (1'R, 3R)-1-(1'-Phenylethyl)-5-Oxo-3-Pyr...  4-Oxalysine