Online Database of Chemicals from Around the World

二乙酰基螺旋霉素 III
[CAS# 99664-83-2]

供应商
CAS#: 99664-83-2
产品: 二乙酰基螺旋霉素 III
暂时没有厂家供应该产品。
基本信息
产品名称 二乙酰基螺旋霉素 III
英文名 Diacetylspiramycin III
别名 [(4R,5S,6S,7S,9R,10S,11E,13E,16R)-6-[(2S,3R,4R,5S,6R)-5-[(2S,4R,5S,6S)-4,5-Dihydroxy-4,6-Dimethyl-Tetrahydropyran-2-Yl]Oxy-4-Dimethylamino-3-Hydroxy-6-Methyl-Tetrahydropyran-2-Yl]Oxy-10-[(2R,5S,6R)-5-Dimethylamino-6-Methyl-4-(2-Oxoethyl)Tetrahydropyran-2-
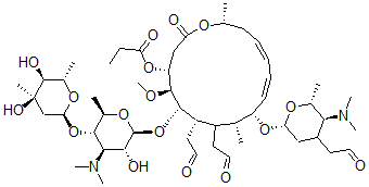
分子结构 CAS 登录号:99664-83-2, 二乙酰基螺旋霉素 III
分子式 C50H82N2O17
分子量 983.20
CAS 登录号 99664-83-2
分子行输入简码 SMILES [C@@H]4(O[C@@H]2[C@@H](OC)[C@H](OC(=O)CC)CC(O[C@@H](C/C=C/C=C/[C@H](O[C@@H]1O[C@@H]([C@@H](N(C)C)C(C1)CC=O)C)[C@@H](C([C@@H]2CC=O)CC=O)C)C)=O)O[C@@H]([C@@H](O[C@@H]3O[C@H]([C@H](O)[C@](O)(C3)C)C)[C@H](N(C)C)[C@H]4O)C
国际化学标识码 InChI 1S/C50H82N2O17/c1-13-38(56)66-37-26-39(57)62-28(2)17-15-14-16-18-36(67-40-25-33(19-22-53)42(51(8)9)30(4)63-40)29(3)34(20-23-54)35(21-24-55)46(47(37)61-12)69-49-44(58)43(52(10)11)45(31(5)65-49)68-41-27-50(7,60)48(59)32(6)64-41/h14-16,18,22-24,28-37,40-49,5
国际化学标识检索码 InChIKey REDHZNLPLQBCCV-LBFPBFSLSA-N
市场分析报告
请浏览二乙酰基螺旋霉素 III市场分析报告总目录
相关产品
溴二硝基甲烷  2-(2-氨基乙基氨基)-吡啶二盐酸盐  1-[[(1-氧代十六烷基)氧基]甲基]乙烯 2,...  1-[[(1-氧代十八烷基)氧基]甲基]乙烯 2,...  N-[14-甲基-3,6,9,12-四(2-甲基烯...  埃斯波霉素 A1  苄氧羰基苯丙氨酸 4-甲基香豆-7-基酯  2-(羧基甲硫基)丁二酸  N-烯丙基戊巴比妥  N-4-硝基苯并-2-氧杂-1,3-二氮唑二棕榈酰...  4-氯-6-甲氧基-2-羟基-N(1)-亚硝基吲哚...  D-苯甘氨酰-L-半胱氨酰-L-苯甘氨酰-D-色氨...  5,5'-双-三氟甲基-2,2'-二氯联苯  5,5-二甲基-1,2,3-环己烷三酮 1,2-二...  6-[(5,10-二氢-5,10-二氧代蒽并[2,...