Online Database of Chemicals from Around the World

酪氨酰-3-奥曲肽
[CAS# 96608-80-9]

供应商
CAS#: 96608-80-9
产品: 酪氨酰-3-奥曲肽
暂时没有厂家供应该产品。
基本信息
产品名称 酪氨酰-3-奥曲肽
英文名 Tyr-3-octreotide
别名 10-(4-Aminobutyl)-19-[(2-Amino-3-Phenyl-Propanoyl)Amino]-7-(1-Hydroxyethyl)-N-[2-Hydroxy-1-(Hydroxymethyl)Propyl]-16-[(4-Hydroxyphenyl)Methyl]-13-(1H-Indol-3-Ylmethyl)-6,9,12,15,18-Pentaoxo-1,2-Dithia-5,8,11,14,17-Pentazacycloicosane-4-Carboxamide; 10-(4-A
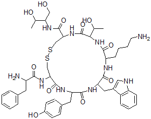
分子结构 CAS 登录号:96608-80-9, 酪氨酰-3-奥曲肽
分子式 C49H66N10O11S2
分子量 1035.24
CAS 登录号 96608-80-9 (103667-46-5)
分子行输入简码 SMILES C1=C(C2=C([NH]1)C=CC=C2)CC4NC(=O)C(NC(=O)C(NC(=O)C(N)CC3=CC=CC=C3)CSSCC(NC(=O)C(NC(=O)C(NC4=O)CCCCN)C(O)C)C(=O)NC(C(O)C)CO)CC5=CC=C(O)C=C5
国际化学标识码 InChI 1S/C49H66N10O11S2/c1-27(61)39(24-60)56-48(69)41-26-72-71-25-40(57-43(64)34(51)20-29-10-4-3-5-11-29)47(68)54-37(21-30-15-17-32(63)18-16-30)45(66)55-38(22-31-23-52-35-13-7-6-12-33(31)35)46(67)53-36(14-8-9-19-50)44(65)59-42(28(2)62)49(70)58-41/h3-7,10-13,15-
国际化学标识检索码 InChIKey LHCIROHUTQLZCZ-UHFFFAOYSA-N
物理化学性质
密度 1.423g/cm3 (计算值)
沸点 1480.966°C at 760 mmHg (计算值)
闪点 849.457°C (计算值)
市场分析报告
请浏览酪氨酰-3-奥曲肽市场分析报告总目录
相关产品
利非贝罗  1-(4'-叔丁基苯基)-3-(4'羧甲基氨基羰基...  2-肼基-5-N-丁基吡啶  S-(1,2-二氯乙烯)谷胱甘肽  25-羟基-6,19-二氢-6,19-乙醇维他命 ...  N-丁基-4-氯-3-硝基苯磺酰胺  橙色海绵素 C  3,5-双(三氟甲基)苯甲酸乙酯  3-甲基-3-(4-甲基戊-3-烯基)环氧乙烷-2...  2-甲氧基-1-甲基-2-氧代乙基丁酸酯  2-烯丙基氧基间茴香酸  4-(丙基氨基)哌啶-4-甲酰胺  4a-羟基-FAD  N-(4-叠氮基水杨酰胺)-1,2-双(露糖-4'...  Halenaquinol Sulfate