Online Database of Chemicals from Around the World

{1,1',1'',1'''-[1,2-乙二基二(次氮基-kappaN)]四(2-丙醇-kappaO)(4-)}钛
[CAS# 96471-81-7]

供应商
Alfa Aesar. 美国 询价快递  
+1 (978) 521-6300
info@alfa.com
化学品生产商
International Laboratory Limited 美国 询价快递  
+1 (650) 278-9963
admin@intlab.org
化学品生产商(2002 年起)
基本信息
产品名称 {1,1',1'',1'''-[1,2-乙二基二(次氮基-kappaN)]四(2-丙醇-kappaO)(4-)}钛
英文名 {1,1',1'',1'''-[1,2-Ethanediyldi(nitrilo-kappaN)]tetra(2-propanolato-kappaO)(4-)}titanium
别名 {1,1',1'',1'''-[1,2-Ethanediyldi(nitrilo-κN)]tetra(2-propanolato-κO)(4-)}titanium; Titanium, [1,1',1'',1'''-[1,2-ethanediyldi(nitrilo-κN)]tetrakis[2-propanolato-κO](4-)]-
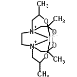
分子结构 CAS 登录号:96471-81-7, {1,1',1'',1'''-[1,2-乙二基二(次氮基-kappaN)]四(2-丙醇-kappaO)(4-)}钛
分子式 C14H28N2O4Ti
分子量 336.25
CAS 登录号 96471-81-7
分子行输入简码 SMILES CC1C[N+]23CC[N+]45[Ti-2]2(O1)(OC(C3)C)(OC(C4)C)OC(C5)C
国际化学标识码 InChI 1S/C14H28N2O4.Ti/c1-11(17)7-15(8-12(2)18)5-6-16(9-13(3)19)10-14(4)20;/h11-14H,5-10H2,1-4H3;/q-4;+4
国际化学标识检索码 InChIKey NREIZSHTTUWNIN-UHFFFAOYSA-N
安全数据
SDS 化学品安全技术说明书参考文本
市场分析报告
请浏览{1,1',1'',1'''-[1,2-乙二基二(次氮基-kappaN)]四(2-丙醇-kappaO)(4-)}钛市场分析报告总目录
相关产品
7-乙氧基-1,2,3,4-四氢环戊烯并[b]吲哚  3-[3-(5-氯-2H-苯并三唑-2-基)-4-...  7-甲氧基-1,3-苯并噻唑-2(3H)-酮  2-氯-1,3-苯并噻唑-7-醇  4-氯-2-(2-甲基-2-丙基)-5-硫基-3(...  2,4,6-三乙氧基-5-甲基嘧啶  5-乙基-2,4,6-三甲氧基嘧啶  3-氨基-6-溴-4(3H)-喹唑啉酮  乙基[4-(2-甲基-2-丙基)-1,3-噻唑-2...  丁基[4-(2-甲基-2-丙基)-1,3-噻唑-2...  异丁基[4-(2-甲基-2-丙基)-1,3-噻唑-...  甲基[5-氯-4-(2-甲基-2-丙基)-1,3-...  乙基[5-氯-4-(2-甲基-2-丙基)-1,3-...  4-(1,3-二恶烷-2-基)-2-甲基喹啉  4-(1,3-二氧戊环-4-基)吡啶