Online Database of Chemicals from Around the World

1,3-(13C6)苯二酚
[CAS# 953390-31-3]

供应商
Alsachim SAS 法国 询价快递  
+33 (368) 240-080
contact@alsachim.com
化学品生产商
International Laboratory Limited 美国 询价快递  
+1 (650) 278-9963
admin@intlab.org
化学品生产商(2002 年起)
Santa Cruz Biotechnology, Inc. 美国 询价快递  
+1 (831) 457-3800
scbt@scbt.com
化学品生产商
基本信息
产品名称 1,3-(13C6)苯二酚
英文名 1,3-(13C6)Benzenediol
别名 RESORCINOL-13C6
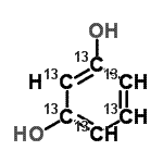
分子结构 CAS 登录号:953390-31-3, 1,3-(<sup>13</sup>C<sub>6</sub>)苯二酚
分子式 13C6H6O2
分子量 116.07
CAS 登录号 953390-31-3
分子行输入简码 SMILES c1cc(cc(c1)O)O
国际化学标识码 InChI 1S/C6H6O2/c7-5-2-1-3-6(8)4-5/h1-4,7-8H/i1+1,2+1,3+1,4+1,5+1,6+1
国际化学标识检索码 InChIKey GHMLBKRAJCXXBS-IDEBNGHGSA-N
物理化学性质
密度 1.276g/cm3 (计算值)
折射率 1.612 (计算值)
市场分析报告
请浏览1,3-(13C6)苯二酚市场分析报告总目录
相关产品
4-氯-1,3-(<sup>13</sup>C<s...  4-氯-6-亚硝基-1,3-(<sup>13</s...  2,3-二氢-1-苯并呋喃-7-磺酰氯  4-甲基-2-苯基-1,3-恶唑-5-甲醛  4-甲基-2-(4-吡啶基)-1,3-噻唑-5-甲...  4-{[3-(氯甲基)-1,2-恶唑-5-基]甲基...  N-甲基-1-[5-(1-哌啶基)-2-噻吩基]甲...  (1R)-3-甲基双环[2.2.1]庚-2-烯-2...  [(6-氯-3-吡啶基)甲基]氨基甲酸  5-甲酰基苯并[b]噻吩-2-硼酸频哪醇酯  [4-(甲氧羰基)-1-{[(2-甲基-2-丙基)...  [4-(二异丙基氨基甲酰)-1-{[(2-甲基-2...  [7-(甲氧羰基)-1-{[(2-甲基-2-丙基)...  (2S,3R,4S)-3,4-二羟基吡咯烷-2-羧...  (3S,4R)-3,4-二羟基-L-脯氨酸