Online Database of Chemicals from Around the World

木鞣质 A
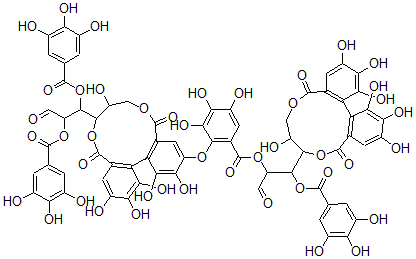
[CAS# 95263-69-7]

供应商
CAS#: 95263-69-7
产品: 木鞣质 A
暂时没有厂家供应该产品。
基本信息
产品名称 木鞣质 A
英文名 Cornusiin A
别名 D-Glucose, Cyclic 4-2':6-2-(4-(6-Carboxy-2,3,4-Trihydroxyphenoxy)-4',5,5',6,6'-Pentahydroxy(1,1'-Biphenyl)-2,2'-Dicarboxylate) 2,3-Bis(3,4,5-Trihydroxybenzoate), 2-Ester With D-Glucose Cyclic 4,6-(4,4',5',5',6,6'-Hexahydroxy(1,1'-Biphenyl)-2,2'-Dicarboxyl
分子结构 CAS 登录号:95263-69-7, 木鞣质 A
分子式 C68H50O44
分子量 1571.12
CAS 登录号 95263-69-7
分子行输入简码 SMILES C1=C(C(=C(C2=C1C(OCC(C(OC(C3=C2C(=C(C(=C3)O)O)O)=O)C(OC(C4=CC(=C(C(=C4)O)O)O)=O)C(OC(C5=CC(=C(C(=C5)O)O)O)=O)C=O)O)=O)O)O)OC%10=C(C(OC(C(C6OC(C8=C(C7=C(C(OCC6O)=O)C=C(C(=C7O)O)O)C(=C(C(=C8)O)O)O)=O)OC(C9=CC(=C(C(=C9)O)O)O)=O)C=O)=O)C=C(C(=C%10O)O)O
国际化学标识码 InChI 1S/C68H50O44/c69-12-37(107-61(96)16-1-24(71)43(83)25(72)2-16)59(111-62(97)17-3-26(73)44(84)27(74)4-17)57-35(82)15-105-65(100)22-11-36(50(90)54(94)42(22)41-21(67(102)109-57)9-32(79)48(88)53(41)93)106-56-23(10-33(80)49(89)55(56)95)68(103)108-38(13-70)60(112
国际化学标识检索码 InChIKey CGTQPVKZNROYFH-UHFFFAOYSA-N
物理化学性质
密度 1.899g/cm3 (计算值)
市场分析报告
请浏览木鞣质 A市场分析报告总目录
相关产品
木鞣质 B  1,24-二羟基-22-去氢维他命 D3  地马唑  Mesotrin  1-苄基-1,4-二氢烟酰胺  N,N-二异丙基-2-苯并噻唑次磺酰胺  4-羧基乙基苯基乙二醛-双(N-甲硫基半卡巴腙)  硫代硫酸氢 S-[2-(环辛基氨基)乙基]酯  普劳诺托 M-4  普劳诺托 M-5  1-((3-羟基)-4-(羟基甲基)环戊基)-4-...  1,2-双(4-氯苯基)肼  甲基三硫磷  硫代硫酸氢 S-[2-(苯乙基氨基)乙基]酯  3-亚硝基-4-恶唑烷羧酸