Online Database of Chemicals from Around the World

异丙基10-[5,6-二己基-2-(8-异丙氧基-8-氧代-辛基)-1-环己-3-烯基]癸-9-烯酸酯
[CAS# 94266-26-9]

供应商
CAS#: 94266-26-9
产品: 异丙基10-[5,6-二己基-2-(8-异丙氧基-8-氧代-辛基)-1-环己-3-烯基]癸-9-烯酸酯
暂时没有厂家供应该产品。
基本信息
产品名称 异丙基10-[5,6-二己基-2-(8-异丙氧基-8-氧代-辛基)-1-环己-3-烯基]癸-9-烯酸酯
英文名 isopropyl 10-[5,6-dihexyl-2-(8-isopropoxy-8-oxo-octyl)-1-cyclohex-3-enyl]dec-9-enoate
别名 isopropyl 4,5-dihexyl-6-[10-(1-methylethoxy)-10-oxo-1-decenyl]cyclohex-2-ene-1-octanoate
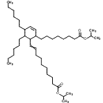
分子结构 CAS 登录号:94266-26-9, 异丙基10-[5,6-二己基-2-(8-异丙氧基-8-氧代-辛基)-1-环己-3-烯基]癸-9-烯酸酯
分子式 C42H76O4
分子量 645.05
CAS 登录号 94266-26-9
EINECS 登录号 304-432-3
分子行输入简码 SMILES CC(C)OC(=O)CCCCCCCC1/C=C\C(CCCCCC)C(CCCCCC)C1C=CCCCCCCCC(=O)OC(C)C
国际化学标识码 InChI 1S/C42H76O4/c1-7-9-11-21-27-37-33-34-38(28-22-17-16-20-26-32-42(44)46-36(5)6)40(39(37)29-23-12-10-8-2)30-24-18-14-13-15-19-25-31-41(43)45-35(3)4/h24,30,33-40H,7-23,25-29,31-32H2,1-6H3
国际化学标识检索码 InChIKey BFZNCPXNOGIELB-UHFFFAOYSA-N
物理化学性质
密度 0.919g/cm3 (计算值)
沸点 660.941°C at 760 mmHg (计算值)
闪点 311.566°C (计算值)
市场分析报告
请浏览异丙基10-[5,6-二己基-2-(8-异丙氧基-8-氧代-辛基)-1-环己-3-烯基]癸-9-烯酸酯市场分析报告总目录
相关产品
5-[8-(二(2-羟基乙基)氨基)-8-氧代-辛...  二十烷酸;lambda<sup>2</sup>-铅...  L-精氨酸单[(S)-4-(1,3-二氢-1-氧代...  L-精氨酸单[(R)-4-(1,3-二氢-1-氧代...  1,1'-(1,4-哌嗪二基)二(2-丙炔-1-酮...  乙基4-氧代-2-吖丁啶羧酸酯  5-氰基-4-乙基-3-甲基-1H-吡咯-2-羧酸  铬(2+)二(2-甲基丙烯酸酯)  铜(1+)甲基丙烯酸酯  亚铁2-甲基丙-2-烯酸酯  7-二乙基氨基-3-(1,3-二甲基-2H-苯并咪...  铬(2+)二丙烯酸酯  lambda<sup>2</sup>-锡烷;2-甲...  钛(4+)甲基丙烯酸酯  钙氢3,4,5,6-四氯邻苯二甲酸酯