|
CAS#: 93840-42-7 Product: 2,2'-Methylenebis[6-cyclopentyl-4-(2-methyl-2-propanyl)phenol] No suppilers available for the product. |
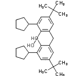
| Name | 2,2'-Methylenebis[6-cyclopentyl-4-(2-methyl-2-propanyl)phenol] |
|---|---|
| Synonyms | 2,2'-methylenebis[4-tert-butyl-6-cyclopentylphenol] |
| Molecular Structure | ![]() |
| Molecular Formula | C31H44O2 |
| Molecular Weight | 448.68 |
| CAS Registry Number | 93840-42-7 |
| EINECS | 298-906-6 |
| SMILES | CC(C)(C)c3cc(Cc1cc(cc(c1O)C2CCCC2)C(C)(C)C)c(O)c(c3)C4CCCC4 |
| InChI | 1S/C31H44O2/c1-30(2,3)24-16-22(28(32)26(18-24)20-11-7-8-12-20)15-23-17-25(31(4,5)6)19-27(29(23)33)21-13-9-10-14-21/h16-21,32-33H,7-15H2,1-6H3 |
| InChIKey | YEUQGFPNRFVXOE-UHFFFAOYSA-N |
| Density | 1.053g/cm3 (Cal.) |
|---|---|
| Boiling point | 488.453°C at 760 mmHg (Cal.) |
| Flash point | 192.2°C (Cal.) |
| Market Analysis Reports |
| List of Reports Available for 2,2'-Methylenebis[6-cyclopentyl-4-(2-methyl-2-propanyl)phenol] |