Online Database of Chemicals from Around the World

1-(2-氨基乙基)-3-甲基-2-十一烷基咪唑烷-1-鎓甲基硫酸盐
[CAS# 93783-37-0]

供应商
CAS#: 93783-37-0
产品: 1-(2-氨基乙基)-3-甲基-2-十一烷基咪唑烷-1-鎓甲基硫酸盐
暂时没有厂家供应该产品。
基本信息
产品名称 1-(2-氨基乙基)-3-甲基-2-十一烷基咪唑烷-1-鎓甲基硫酸盐
英文名 1-(2-Aminoethyl)-3-methyl-2-undecylimidazolidin-1-ium methyl sulfate
别名 1-(2-aminoethyl)-4,5-dihydro-3-methyl-2-undecyl-1H-imidazolium methyl sulphate
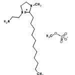
分子结构 CAS 登录号:93783-37-0, 1-(2-氨基乙基)-3-甲基-2-十一烷基咪唑烷-1-鎓甲基硫酸盐
分子式 C18H41N3O4S
分子量 395.60
CAS 登录号 93783-37-0
EINECS 登录号 298-236-4
分子行输入简码 SMILES CN1CC[NH+](CCN)C1CCCCCCCCCCC.[O-]S(=O)(=O)OC
国际化学标识码 InChI 1S/C17H37N3.CH4O4S/c1-3-4-5-6-7-8-9-10-11-12-17-19(2)15-16-20(17)14-13-18;1-5-6(2,3)4/h17H,3-16,18H2,1-2H3;1H3,(H,2,3,4)
国际化学标识检索码 InChIKey PHCTZPYHKUCEAE-UHFFFAOYSA-N
物理化学性质
沸点 512.3°C at 760 mmHg (计算值)
闪点 263.6°C (计算值)
市场分析报告
请浏览1-(2-氨基乙基)-3-甲基-2-十一烷基咪唑烷-1-鎓甲基硫酸盐市场分析报告总目录
相关产品
2-[2-(1H-[1,3]恶唑并[3,4-c][...  二锂四丁基镁酸盐(2-)  5-(二异丙基氨基)-2-{[4-(二甲基氨基)苯...  1-(2-氟-4-硝基苯基)甲胺  4,5-二甲基-2-[2-(甲硫基)乙基]-1,3...  2-烯丙基-1,4-二氯苯  1,4-二氯-2-(2-甲基-2-丙烯-1-基)苯  3-(二氟甲基)-1,4,5,6-四氢环戊烯并[c...  2-膦酰-1,2,4-丁烷三羧酸酯铵盐(1:4)  2-羟基-N-[3-(二十烷酰基氨基)丙基]-N,...  N-[3-(二十二烷酰基氨基)丙基]-2-羟基-N...  L-鸟氨酸硫酸盐(1:1)  2-氧代-3-苯丙酸-L-组氨酸(1:1)  二钠7-[({6-[(2-氯乙基)磺酰基]双环[2...  二钠4-羟基-3-[(4-甲基-2-磺酸苯基)偶氮...