Online Database of Chemicals from Around the World

6,6'-Di-O-(3-hydroxy-1-oxo-2-tetradecyloctadecyl)-alpha-Mannopyranosyl-alpha-Mannopyranoside
[CAS# 93714-04-6]

Suppliers
CAS#: 93714-04-6
Product: 6,6'-Di-O-(3-hydroxy-1-oxo-2-tetradecyloctadecyl)-alpha-Mannopyranosyl-alpha-Mannopyranoside
No suppilers available for the product.
Identification
Name 6,6'-Di-O-(3-hydroxy-1-oxo-2-tetradecyloctadecyl)-alpha-Mannopyranosyl-alpha-Mannopyranoside
Synonyms [(2R,3S,4S,5S)-3,4,5-Trihydroxy-6-[(2R,3S,4S,5S,6R)-3,4,5-Trihydroxy-6-[(3-Hydroxy-2-Tetradecyl-Octadecanoyl)Oxymethyl]Tetrahydropyran-2-Yl]Oxy-Tetrahydropyran-2-Yl]Methyl 3-Hydroxy-2-Tetradecyl-Octadecanoate; 3-Hydroxy-2-Tetradecyloctadecanoic Acid [(2R,3
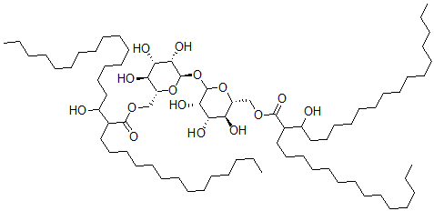
Molecular Structure CAS#: 93714-04-6, 6,6'-Di-O-(3-hydroxy-1-oxo-2-tetradecyloctadecyl)-alpha-Mannopyranosyl-alpha-Mannopyranoside
Molecular Formula C76H146O15
Molecular Weight 1299.98
CAS Registry Number 93714-04-6
SMILES [C@@H]1([C@@H]([C@@H]([C@H](O[C@@H]1COC(C(CCCCCCCCCCCCCC)C(CCCCCCCCCCCCCCC)O)=O)OC2[C@H]([C@H]([C@@H]([C@H](O2)COC(C(CCCCCCCCCCCCCC)C(CCCCCCCCCCCCCCC)O)=O)O)O)O)O)O)O
InChI 1S/C76H146O15/c1-5-9-13-17-21-25-29-33-37-41-45-49-53-57-63(77)61(55-51-47-43-39-35-31-27-23-19-15-11-7-3)73(85)87-59-65-67(79)69(81)71(83)75(89-65)91-76-72(84)70(82)68(80)66(90-76)60-88-74(86)62(56-52-48-44-40-36-32-28-24-20-16-12-8-4)64(78)58-54-50-46-4
InChIKey LFRXCNXVZHVRSE-BJNFGYILSA-N
Properties
Density 1.061g/cm3 (Cal.)
Boiling point 1135.183°C at 760 mmHg (Cal.)
Flash point 272.452°C (Cal.)
Market Analysis Reports
List of Reports Available for 6,6'-Di-O-(3-hydroxy-1-oxo-2-tetradecyloctadecyl)-alpha-Mannopyranosyl-alpha-Mannopyranoside
Related Products
Methyl 4,5-dibromo-1H-pyrrole-2-carboxyl...  [3-(Dimethylaminomethyl)-2-Methyl-Phenyl...  N-Nitroso-N-methyl-4-fluoroaniline  Carbobenzoxycoumarin  Salicylidene Mandelhydrazone  N-tert-Butylaniline  Phenylsulfate  [(4,6-Diamino-1,3,5-triazin-2-yl)amino]m...  1-Chloro-3-phenylacetone  Ralitoline  Phenylacetic acid hydrazide  4-Methylumbelliferyl-6-Sulfo-2-Acetamido...  Hexahydro-1H-azepine-1-propionitrile  6-Bromo-1,3-Dihydro-2H-Imidazo[4,5-b]Pyr...  Avenacein Y