Online Database of Chemicals from Around the World

Igercine
[CAS# 92891-56-0]

供应商
CAS#: 92891-56-0
产品: Igercine
暂时没有厂家供应该产品。
基本信息
产品名称 Igercine
英文名 Igercine
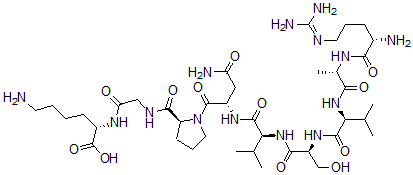
别名 (2S)-6-Amino-2-[[2-[[(2S)-1-[(2S)-4-Amino-2-[[(2S)-2-[[(2S)-2-[[(2S)-2-[[(2S)-2-[[(2S)-2-Amino-5-Guanidino-Pentanoyl]Amino]Propanoyl]Amino]-3-Methyl-Butanoyl]Amino]-3-Hydroxy-Propanoyl]Amino]-3-Methyl-Butanoyl]Amino]-4-Oxo-Butanoyl]Pyrrolidine-2-Carbonyl]
分子结构 CAS 登录号:92891-56-0, Igercine
分子式 C39H70N14O12
分子量 927.07
CAS 登录号 92891-56-0
分子行输入简码 SMILES [C@@H]1(N(CCC1)C(=O)[C@@H](NC(=O)[C@@H](NC(=O)[C@@H](NC(=O)[C@@H](NC(=O)[C@@H](NC(=O)[C@@H](N)CCCN=C(N)N)C)C(C)C)CO)C(C)C)CC(=O)N)C(=O)NCC(=O)N[C@@H](CCCCN)C(O)=O
国际化学标识码 InChI 1S/C39H70N14O12/c1-19(2)29(51-31(57)21(5)47-32(58)22(41)10-8-14-45-39(43)44)36(62)50-25(18-54)33(59)52-30(20(3)4)35(61)49-24(16-27(42)55)37(63)53-15-9-12-26(53)34(60)46-17-28(56)48-23(38(64)65)11-6-7-13-40/h19-26,29-30,54H,6-18,40-41H2,1-5H3,(H2,42,55)(H,
国际化学标识检索码 InChIKey FLRLYDYDLREVOO-QBUMULATSA-N
物理化学性质
密度 1.485g/cm3 (计算值)
市场分析报告
请浏览Igercine市场分析报告总目录
相关产品
2-((((2-氯乙基)亚硝基氨基)羰基)氨基)丙...  2-[[(2S)-2-[[(1S)-1-乙氧基羰基...  己-4-炔-1-醇  4,4'-双(3-氧代丁酰氨基)-1,1'-联苯  2-(2-氨基苯基硫)-N-苯基-乙酰胺  硫代硫酸氢 S-[2-(异丙基氨基)乙基]酯  6-单甲基氨基苯基偶氮苯并噻唑  10-(3-丙酰氧基琥珀酰亚胺)-2-(三氟甲基)...  异恶唑并[5,4-b]吡啶-3-胺  2-氨基-3-((N-2,4,6-三甲基苯磺酰基)...  2-氯乙基棕榈酸酯  3beta-叠氮基胆酰-2-碘组胺  (E)-4-庚醛  钆喷酸二甲葡胺聚赖氨酸  二乙烯三胺五乙酸镝二钠盐