基本信息
| 产品名称 |
苯甲酰氧基羰基-缩胆囊素 (27-32) 酰胺 |
| 英文名 |
Benzoyloxycarbonyl-Cholecystokinin (27-32) Amide |
| 别名 |
(3S)-4-Amino-3-[[2-[[(2S)-3-(1H-Indol-3-Yl)-2-[[2-[[(2S)-4-Methylsulfanyl-2-[[(2S)-2-(Phenylmethoxycarbonylamino)-3-(4-Sulfooxyphenyl)Propanoyl]Amino]Butanoyl]Amino]Acetyl]Amino]Propanoyl]Amino]-4-Methylsulfanyl-Butanoyl]Amino]-4-Oxo-Butanoic Acid; (3S)-4- |
|
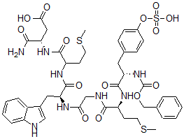
| 分子结构 |
 |
| 分子式 |
C44H54N8O14S3 |
| 分子量 |
1015.14 |
| CAS 登录号 |
92773-91-6 |
| 分子行输入简码 SMILES |
[C@@H](CC1=C[NH]C2=CC=CC=C12)(NC(CNC([C@@H](NC([C@@H](NC(OCC3=CC=CC=C3)=O)CC4=CC=C(O[S](=O)(=O)O)C=C4)=O)CCSC)=O)=O)C(NC(C(N[C@H](C(=O)N)CC(O)=O)=O)CCSC)=O |
| 国际化学标识码 InChI |
1S/C44H54N8O14S3/c1-67-18-16-32(49-42(59)35(52-44(61)65-25-27-8-4-3-5-9-27)20-26-12-14-29(15-13-26)66-69(62,63)64)40(57)47-24-37(53)48-36(21-28-23-46-31-11-7-6-10-30(28)31)43(60)50-33(17-19-68-2)41(58)51-34(39(45)56)22-38(54)55/h3-15,23,32-36,46H,16-22,24 |
| 国际化学标识检索码 InChIKey |
KPQFTSAITJUUQC-PXKRUONZSA-N |
|