Online Database of Chemicals from Around the World

Tedanolide
[CAS# 92471-87-9]

供应商
CAS#: 92471-87-9
产品: Tedanolide
暂时没有厂家供应该产品。
基本信息
产品名称 Tedanolide
英文名 Tedanolide
别名 (3R,4S,5S,7R,8R,9Z,11S,14S,15R,17R)-3,8,14-Trihydroxy-17-[(S)-Hydroxy-[(2R,3R)-2-Methyl-3-[(Z,1S)-1-Methylbut-2-Enyl]Oxiran-2-Yl]Methyl]-4-Methoxy-5,7,9,11,15-Pentamethyl-1-Oxacyclooctadec-9-Ene-2,6,12,16-Tetrone; (3R,4S,5S,7R,8R,9Z,11S,14S,15R,17R)-3,8,14
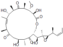
分子结构 CAS 登录号:92471-87-9, Tedanolide
分子式 C32H50O11
分子量 610.74
CAS 登录号 92471-87-9
分子行输入简码 SMILES [C@]1(O[C@@H]1[C@H](\C=C/C)C)([C@@H](O)[C@@H]2C(=O)[C@@H]([C@@H](O)CC(=O)[C@H](\C=C(/[C@H](O)[C@H](C(=O)[C@H]([C@H](OC)[C@@H](O)C(OC2)=O)C)C)C)C)C)C
国际化学标识码 InChI 1S/C32H50O11/c1-10-11-15(2)30-32(8,43-30)29(39)21-14-42-31(40)27(38)28(41-9)20(7)25(36)19(6)24(35)17(4)12-16(3)22(33)13-23(34)18(5)26(21)37/h10-12,15-16,18-21,23-24,27-30,34-35,38-39H,13-14H2,1-9H3/b11-10-,17-12-/t15-,16-,18+,19+,20+,21-,23-,24-,27+,28-,2
国际化学标识检索码 InChIKey ILTUTLWVTBBXNS-OOKZJIOFSA-N
物理化学性质
密度 1.216g/cm3 (计算值)
沸点 780.656°C at 760 mmHg (计算值)
闪点 241.724°C (计算值)
市场分析报告
请浏览Tedanolide市场分析报告总目录
相关产品
4-甲基-4-氮杂-3-氧代孕甾-20-羧酸  N,N-二乙基-3-氧代-4-氮杂雄甾-1-烯-1...  5-(2',5'-二甲基苯基)-6-氧杂-1-氮杂...  3,8,10-三甲基-3,5,8,10-四氮杂双环...  3,4-二氢-6-甲基-2H-1-苯并吡喃-2-酮  1-(4-{(1R)-1-[(6S,7S)-2-氨...  1-(4-{[1-(2-氨基-5,7-二甲基-4-...  马来酸氢异丙酯  4-Azidoretinol  2-氟甲基咪唑-促甲状腺素-释放激素  5,6-二甲基-4-氧代-吡喃-2-羧酸酯  6-[(2-氯苯基)甲基硫]-9-丙基-嘌呤-2-...  1-(4-羟基-3-哌啶-1-基甲基苯基)-乙酮  帝普爽  马来酸氢丙酯