Identification
| Name |
Expectorant |
| Synonyms |
Sodium (2S,4S,5R,6R)-5-Acetamido-2,4-Dihydroxy-6-[(1R,2R)-1,2,3-Trihydroxypropyl]Tetrahydropyran-2-Carboxylic Acid; Sodium (2S,4S,5R,6R)-5-Acetamido-2,4-Dihydroxy-6-[(1R,2R)-1,2,3-Trihydroxypropyl]-2-Tetrahydropyrancarboxylic Acid; 5-(Acetylamino)-3,5-Dideo |
|
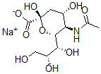
| Molecular Structure |
 |
| Molecular Formula |
C11H19NNaO9 |
| Molecular Weight |
332.26 |
| CAS Registry Number |
92413-99-5 |
| SMILES |
[C@H]1(O[C@@](O)(C[C@H](O)[C@H]1NC(=O)C)C(=O)O)[C@H](O)[C@H](O)CO.[Na+] |
| InChI |
1S/C11H19NO9.Na/c1-4(14)12-7-5(15)2-11(20,10(18)19)21-9(7)8(17)6(16)3-13;/h5-9,13,15-17,20H,2-3H2,1H3,(H,12,14)(H,18,19);/q;+1/t5-,6+,7+,8+,9+,11-;/m0./s1 |
| InChIKey |
QKFTYFYIYXTFBX-BKSOAOGQSA-N |
|