Online Database of Chemicals from Around the World

4,4',4'',4'''-[(6,6'-二甲氧基-2,2'-联苯二基)二膦三基]四(2,6-二异丙基-N,N-二甲基苯胺)
[CAS# 919338-66-2]

基本信息
产品分类 化学试剂 >> 有机试剂 >> 膦配体
产品名称 4,4',4'',4'''-[(6,6'-二甲氧基-2,2'-联苯二基)二膦三基]四(2,6-二异丙基-N,N-二甲基苯胺)
英文名 4,4',4'',4'''-[(6,6'-Dimethoxy-2,2'-biphenyldiyl)diphosphinetriyl]tetrakis(2,6-diisopropyl-N,N-dimethylaniline)
别名 "(R)-(+)-2,2¡¯-Bis[di-(3,5-di-i-propyl-4-dimethyl-aminophenyl)-phosphino]-6,6¡¯-dimethoxy-1,1¡¯-biphenyl"; "(S)-(-)-2,2¡¯-Bis[di-(3,5-di-i-propyl-4-dimethyl-aminophenyl)-phosphino]-6,6¡¯-dimethoxy-1,1¡¯-biphenyl"; (R)-3,5-iPr-4-NMe2-MeOBIPHEP
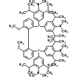
分子结构 CAS 登录号:919338-66-2, 4,4',4'',4'''-[(6,6'-二甲氧基-2,2'-联苯二基)二膦三基]四(2,6-二异丙基-N,N-二甲基苯胺)
分子式 C70H100N4O2P2
分子量 1091.52
CAS 登录号 919338-66-2
分子行输入简码 SMILES CC(C)c1cc(cc(c1N(C)C)C(C)C)P(c2cccc(c2c3c(cccc3P(c4cc(c(c(c4)C(C)C)N(C)C)C(C)C)c5cc(c(c(c5)C(C)C)N(C)C)C(C)C)OC)OC)c6cc(c(c(c6)C(C)C)N(C)C)C(C)C
国际化学标识码 InChI 1S/C70H100N4O2P2/c1-41(2)53-33-49(34-54(42(3)4)67(53)71(17)18)77(50-35-55(43(5)6)68(72(19)20)56(36-50)44(7)8)63-31-27-29-61(75-25)65(63)66-62(76-26)30-28-32-64(66)78(51-37-57(45(9)10)69(73(21)22)58(38-51)46(11)12)52-39-59(47(13)14)70(74(23)24)60(40-52)48(15)16/h27-48H,1-26H3
国际化学标识检索码 InChIKey SBQGDYGNDIQAIT-UHFFFAOYSA-N
物理化学性质
沸点 939.813°C at 760 mmHg (计算值)
闪点 522.18°C (计算值)
折射率 (计算值)
安全数据
SDS 化学品安全技术说明书参考文本
市场分析报告
请浏览4,4',4'',4'''-[(6,6'-二甲氧基-2,2'-联苯二基)二膦三基]四(2,6-二异丙基-N,N-二甲基苯胺)市场分析报告总目录
相关产品
1-(1,3,5-三甲基-1H-吡唑-4-基)甲胺  1-(4-溴-1,3-噻唑-2-基)-4-甲基哌嗪  四甲基[1-羟基-2-(3-吡啶基)-1,1-乙二...  (2,5-二氟-3-羟基苯基)硼酸  (4-甲氧基苯基)(2,3,4-三甲氧基苯基)甲醇  甲基2-(三甲基硅烷基)-1-氮丙啶羧酸酯  4,5-二甲氧基-2-甲基-苯甲酰氯  3,3,3-三氟-2-氧代丙醛  甲基3-(5-甲基-1,2-恶唑-3-基)丙酸酯  2-((二甲基氨基)甲基)苯基金(III)二氯化物  2-[4-(苄氧基)苯基]-N,N-二甲基乙酰胺  羟基甲氧基4-甲基苯基-氮氧自由基  [4-(二甲基氨基)-3-甲基苯基]硼酸  4-异丙氧基苯甲腈  3-乙酰氨基-5-甲基-苯甲酸