|
CAS#: 91481-35-5 Product: Technetium Tc 99M Propanetetraphosphonate No suppilers available for the product. |
| Name | Technetium Tc 99M Propanetetraphosphonate |
|---|---|
| Synonyms | Phosphonic Acid, 1,3-Propanediylidenetetrakis-, Technetium-99Tc Salt; Tc-99M-Propanetetraphosphonate; Tc-99M-Ptp |
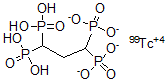
| Molecular Structure | ![]() |
| Molecular Formula | C3H12O12P4Tc |
| Molecular Weight | 462.92 |
| CAS Registry Number | 91481-35-5 |
| SMILES | [99Tc].C(C([P](O)(O)=O)[P](O)(=O)O)C([P](O)(O)=O)[P](O)(=O)O |
| InChI | 1S/C3H12O12P4.Tc/c4-16(5,6)2(17(7,8)9)1-3(18(10,11)12)19(13,14)15;/h2-3H,1H2,(H2,4,5,6)(H2,7,8,9)(H2,10,11,12)(H2,13,14,15);/i;1+1 |
| InChIKey | YJNUDNCCDNTNID-IEOVAKBOSA-N |
| Boiling point | 998.6°C at 760 mmHg (Cal.) |
|---|---|
| Flash point | 557.7°C (Cal.) |
| Market Analysis Reports |
| List of Reports Available for Technetium Tc 99M Propanetetraphosphonate |