基本信息
| 产品名称 |
杀黏虫菌素 |
| 英文名 |
Leucanicidin |
| 别名 |
(3E,5E,11E,13Z)-16-[4-[4-(4,5-Dihydroxy-3-Methoxy-6-Methyloxan-2-Yl)Oxy-2-Hydroxy-5-Methyl-6-Propan-2-Yloxan-2-Yl]-3-Hydroxypentan-2-Yl]-8-Hydroxy-3,15-Dimethoxy-5,7,9,11-Tetramethyl-1-Oxacyclohexadeca-3,5,11,13-Tetraen-2-One; (3E,5E,11E,13E)-16-[3-[4-(4,5 |
|
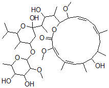
| 分子结构 |
 |
| 分子式 |
C42H70O13 |
| 分子量 |
783.01 |
| CAS 登录号 |
91021-66-8 |
| 分子行输入简码 SMILES |
CC2C(OC1OC(C(O)C(O)C1OC)C)CC(OC2C(C)C)(O)C(C(O)C(C3OC(=O)C(=C\C(=C\C(C(O)C(CC(=C/C=C/C3OC)/C)C)C)C)/OC)C)C |
| 国际化学标识码 InChI |
1S/C42H70O13/c1-21(2)37-26(7)32(53-41-39(51-13)36(46)35(45)29(10)52-41)20-42(48,55-37)28(9)34(44)27(8)38-30(49-11)16-14-15-22(3)17-24(5)33(43)25(6)18-23(4)19-31(50-12)40(47)54-38/h14-16,18-19,21,24-30,32-39,41,43-46,48H,17,20H2,1-13H3/b16-14+,22-15+,23-18 |
| 国际化学标识检索码 InChIKey |
KFLYTTUTONVURR-OUIGTXJBSA-N |
|