Online Database of Chemicals from Around the World

Hydroxybutyl methylcellulose
[CAS# 9041-56-9]

Suppliers
BOC Sciences USA Inquire  
+1 (631) 485-4226
info@bocsci.com
Skype Chat
Chemical distributor
chemBlink massive supplier since 2012
Identification
Name Hydroxybutyl methylcellulose
Synonyms 1-[2,3-Bis(2-Hydroxybutoxy)-6-(2-Hydroxybutoxymethyl)-5-[3,4,5-Tris(2-Hydroxybutoxy)-6-(2-Hydroxybutoxymethyl)Tetrahydropyran-2-Yl]Oxy-Tetrahydropyran-4-Yl]Oxybutan-2-Ol; 3,4,5-Trimethoxy-2-(Methoxymethyl)-6-[4,5,6-Trimethoxy-2-(Methoxymethyl)Tetrahydropy
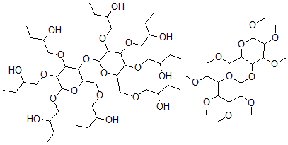
Molecular Structure CAS#: 9041-56-9, Hydroxybutyl methylcellulose
Molecular Formula C64H124O30
Molecular Weight 1373.67
CAS Registry Number 9041-56-9
SMILES C(OCC(O)CC)C1OC(OCC(O)CC)C(OCC(O)CC)C(OCC(O)CC)C1OC2OC(C(OCC(O)CC)C(OCC(O)CC)C2OCC(O)CC)COCC(O)CC.C(OC)C3OC(OC)C(OC)C(OC)C3OC4OC(C(OC)C(OC)C4OC)COC
InChI 1S/C44H86O19.C20H38O11/c1-9-27(45)17-53-25-35-37(55-19-29(47)11-3)39(56-20-30(48)12-4)42(59-23-33(51)15-7)44(62-35)63-38-36(26-54-18-28(46)10-2)61-43(60-24-34(52)16-8)41(58-22-32(50)14-6)40(38)57-21-31(49)13-5;1-21-9-11-13(23-3)15(24-4)18(27-7)20(30-11)31
InChIKey RPZANUYHRMRTTE-UHFFFAOYSA-N
Properties
Boiling point 944.4°C at 760 mmHg (Cal.)
Flash point 525°C (Cal.)
Market Analysis Reports
List of Reports Available for Hydroxybutyl methylcellulose
Related Products
4-Hydroxy-8-methoxycinnoline  1-(4-Nitrophenyl)-2-amino-3-oxopropanal  Angiotensin I  2-Cyclohexylcyclohexanone  3',5'-Dimethoxy-4'-hydroxy-(2-hydroxy)ac...  Sucrose myristate  4-Formyl-6-methoxy-3-nitrophenoxyacetic ...  1-(4-Chloro-2-methoxyphenyl)-3-(1-piperi...  4-Amino-5-hydroxy-2,7-naphthalenedisulfo...  3-Bromo-N-[3-(3-bromopropanoylamino)prop...  2-Methyl-2-propenoic acid 1,2-propanedio...  5-Methylhexyl acetate  Phosphoric acid  Dihydroxy-dioxo-chromium  Terephthalylidene dicamphor sulfonic aci...