基本信息
| 产品名称 |
Retrohydroxamate Ferrichrome |
| 英文名 |
Retrohydroxamate Ferrichrome |
| 别名 |
Ferrous 4-[5,17-Bis[4-(Methyl-Oxido-Amino)-4-Oxo-Butyl]-3,6,9,12,15,18-Hexaoxo-1,4,7,10,13,16-Hexazacyclooctadec-2-Yl]-N-Methyl-N-Oxido-Butanamide; Ferrous 4-[5,17-Bis[4-(Methyl-Oxidoamino)-4-Oxobutyl]-3,6,9,12,15,18-Hexaoxo-1,4,7,10,13,16-Hexazacyclooctad |
|
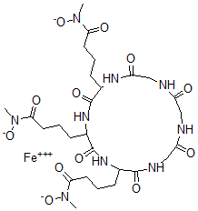
| 分子结构 |
 |
| 分子式 |
C27H42FeN9O12 |
| 分子量 |
740.53 |
| CAS 登录号 |
90385-02-7 |
| 分子行输入简码 SMILES |
C(C1NC(=O)C(NC(=O)CNC(=O)CNC(=O)CNC(=O)C(NC1=O)CCCC(=O)N([O-])C)CCCC(=O)N([O-])C)CCC(=O)N([O-])C.[Fe++] |
| 国际化学标识码 InChI |
1S/C27H42N9O12.Fe/c1-34(46)22(40)10-4-7-16-25(43)30-14-20(38)28-13-19(37)29-15-21(39)31-17(8-5-11-23(41)35(2)47)26(44)33-18(27(45)32-16)9-6-12-24(42)36(3)48;/h16-18H,4-15H2,1-3H3,(H,28,38)(H,29,37)(H,30,43)(H,31,39)(H,32,45)(H,33,44);/q-3;+2 |
| 国际化学标识检索码 InChIKey |
GMBGKBAPBOARQI-UHFFFAOYSA-N |
|