Online Database of Chemicals from Around the World

N1-乙基-N2,N2-二甲基-1,2-丙烷二胺
[CAS# 901586-23-0]

供应商
Exclusive Chemistry Ltd. 俄罗斯 询价快递  
+7 (903) 713-5556
info@exchemistry.com
化学品生产商
Otava Ltd. 乌克兰 询价快递  
+380 (44) 522-2458
order@otavachemicals.com
化学品生产商(1997 年起)
基本信息
产品名称 N1-乙基-N2,N2-二甲基-1,2-丙烷二胺
英文名 N1-Ethyl-N2,N2-dimethyl-1,2-propanediamine
别名 N1-ethyl-N2,N2-dimethyl-1,2-propanediamine; N1-ethyl-N2,N2-dimethylpropane-1,2-diamine
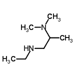
分子结构 CAS 登录号:901586-23-0, N<sup>1</sup>-乙基-N<sup>2</sup>,N<sup>2</sup>-二甲基-1,2-丙烷二胺
分子式 C7H18N2
分子量 130.23
CAS 登录号 901586-23-0
分子行输入简码 SMILES CC(CNCC)N(C)C
国际化学标识码 InChI 1S/C7H18N2/c1-5-8-6-7(2)9(3)4/h7-8H,5-6H2,1-4H3
国际化学标识检索码 InChIKey QQAGUPBUHWNTOF-UHFFFAOYSA-N
物理化学性质
密度 0.811g/cm3 (计算值)
沸点 143.394°C at 760 mmHg (计算值)
闪点 22.674°C (计算值)
折射率 1.433 (计算值)
市场分析报告
请浏览N1-乙基-N2,N2-二甲基-1,2-丙烷二胺市场分析报告总目录
相关产品
N<sup>2</sup>,N<sup>2</su...  N<sup>1</sup>,N<sup>2</su...  N-甲基-2-(1-吡咯烷基)-1-丙胺  N-乙基-2-(1-吡咯烷基)-1-丙胺  N-苄基-2-(1-吡咯烷基)-1-丙胺  N-甲基-2-(1-哌啶基)-1-丙胺  N-苄基-2-(1-哌啶基)-1-丙胺  N<sup>1</sup>,N<sup>1</su...  N-甲基-1-(1-哌啶基)-2-丙胺  N-乙基-1-(1-哌啶基)-2-丙胺  4-氯-6-甲基-2-(4-甲基-1-哌嗪基)嘧啶  4-氯-6-甲基-2-(3-甲基-1-哌啶基)嘧啶  4-氯-6-甲基-2-(4-甲基-1-哌啶基)嘧啶  4-氯-6-乙基-2-(4-甲基-1-哌嗪基)嘧啶  4-氯-6-乙基-2-(3-甲基-1-哌啶基)嘧啶