基本信息
| 产品名称 |
1,3-二羟基-2-(羟基甲基)-2-丙胺 (5Z,9beta,11alpha,13E,15S)-9,11,15-三羟基前列腺-5,13-二烯-1-酸盐 |
| 英文名 |
1,3-Dihydroxy-2-(hydroxymethyl)-2-propanamine (5Z,9beta,11alpha,13E,15S)-9,11,15-trihydroxyprosta-5,13-dien-1-oate |
| 别名 |
" 9β,11α,15S-trihydroxy-prosta-5Z,13E-dien-1-oic acid, tris(hydroxymethyl)aminomethane salt" ; 9β,11α,15S-trihydroxy-prosta-5Z,13E-dien-1-oic acid, tris(hydroxymethyl)aminomethane salt; Prostaglandin F2? (tromethamine salt) |
|
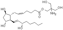
| 分子结构 |
 |
| 分子式 |
C24H45NO8 |
| 分子量 |
475.62 |
| CAS 登录号 |
89847-02-9 |
| 分子行输入简码 SMILES |
CCCCCC(C=CC1C(CC(C1CC=CCCCC(=O)[O-])O)O)O.C(C(CO)(CO)[NH3+])O |
| 国际化学标识码 InChI |
1S/C20H34O5.C4H11NO3/c1-2-3-6-9-15(21)12-13-17-16(18(22)14-19(17)23)10-7-4-5-8-11-20(24)25;5-4(1-6,2-7)3-8/h4,7,12-13,15-19,21-23H,2-3,5-6,8-11,14H2,1H3,(H,24,25);6-8H,1-3,5H2/b7-4-,13-12+;/t15-,16+,17+,18+,19+;/m0./s1 |
| 国际化学标识检索码 InChIKey |
IYGXEHDCSOYNKY-ILQMKDCTSA-N |
|