Online Database of Chemicals from Around the World

3,5-脱水-1-脱氧-4-O-乙基-3-甲基-D-木酮糖
[CAS# 88995-81-7]

供应商
深圳爱拓化学有限公司 中国 询价快递  
+86 13417589054//+86 13424336463
info@atomaxchem.com,atomax.chemicals@gmail.com,
QQ 交流
化学品生产商
基本信息
产品名称 3,5-脱水-1-脱氧-4-O-乙基-3-甲基-D-木酮糖
英文名 3,5-Anhydro-1-deoxy-4-O-ethyl-3-methyl-D-xylulose
别名 1-((2S,3R)-3-ethoxy-2-methyloxetan-2-yl)ethanone
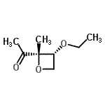
分子结构 CAS 登录号:88995-81-7, 3,5-脱水-1-脱氧-4-O-乙基-3-甲基-D-木酮糖
分子式 C8H14O3
分子量 158.20
CAS 登录号 88995-81-7
分子行输入简码 SMILES CCO[C@@H]1CO[C@]1(C)C(=O)C
国际化学标识码 InChI 1S/C8H14O3/c1-4-10-7-5-11-8(7,3)6(2)9/h7H,4-5H2,1-3H3/t7-,8-/m1/s1
国际化学标识检索码 InChIKey XBICPMXEXOFAPK-HTQZYQBOSA-N
物理化学性质
密度 1.033g/cm3 (计算值)
沸点 210.937°C at 760 mmHg (计算值)
闪点 71.601°C (计算值)
市场分析报告
请浏览3,5-脱水-1-脱氧-4-O-乙基-3-甲基-D-木酮糖市场分析报告总目录
相关产品
3,5-脱水-1-脱氧-4-O-乙基-3-甲基-L...  (6-乙氧基-1H-苯并咪唑-2-基)甲醇  4-(3,5-二甲基吡唑-1-基)-6-苯氧基-嘧...  3-(4-甲氧基苯基)-1H-吡唑-5-羧酸  2-(4-氟苯基)-1H-咪唑-4-羧酸  3-(4-甲基苯基)-1H-吡唑-5-羧酸  [(6-甲基噻吩并[2,3-d]嘧啶-4-基)硫基...  4-甲基-5-苯基-1H-吡唑-3-胺  (5-氨基-3-甲基-1H-吡唑-1-基)乙酸  (2aR,4aS,6aR,9R,9aS,10aR)...  2-(2-氧代乙烯基)苯甲醛  6-氯-1-[4-(三氟甲基)苯基]-1-己酮  7-氯-1-[4-(三氟甲基)苯基]-1-庚酮  1-(7,8-二氢-1H-[1,4]二恶英并[2,...  2-甲基-2-丙基2-异硫氰酸基苯甲酸酯