Online Database of Chemicals from Around the World
产品搜索
|
产品提交
|
English
主页
>>
化工产品目录
>>
第 2805 页
>> gamma-氯-alpha-氰基-乙酰乙酸
gamma-氯-alpha-氰基-乙酰乙酸
[CAS# 861524-41-6]
供应商
BOC Sciences
美国
询价快递
+1 (631) 485-4226
info@bocsci.com
Skype 聊天
化学品供销商
chemBlink
集群供应商
(2012 年起)
gamma-氯-alpha-氰基-乙酰乙酸供应商总目录
基本信息
产品名称
gamma-氯-alpha-氰基-乙酰乙酸
英文名
gamma-Chloro-alpha-Cyano-Acetoacetic Acid
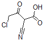
分子结构
CAS 登录号
861524-41-6
市场分析报告
请浏览gamma-氯-alpha-氰基-乙酰乙酸市场分析报告总目录
相关产品
2-甲氧基-6-丙基-苯酚
2'-氨基-alpha-溴-alpha-氯-5'-...
alpha-氯-alpha-甲基-乙酰乙酸甲酯
2-(二甲基氨基)-N-(羟基甲基)-乙酰胺
3-氨基-4,4-二氰基-3-丁烯酸乙酯
1-(3-甲基-2-硝基-苯氧基)-3-(叔丁基氨...
直接黑 170
3-[(3-乙酰基苯基)偶氮]-6-[(4-氯-2...
N-苄氧羰基-缬氨酰-甘氨酰-精氨酰对硝基苯胺乙酸...
4-氯-2-(异恶唑-5-基)苯酚
2-[(乙基氨基)甲基]-4-氨基苯酚二盐酸盐
六氢-2',4',5'-三甲基-乙酰苯胺
N-(alpha-丙基苄叉)-乙酰胺
N-(7,8-二氢-萘-1-基)-乙酰胺
替美斯汀